• Предмет: Математика
  • Автор: Manzamarina
  • Вопрос задан 7 лет назад

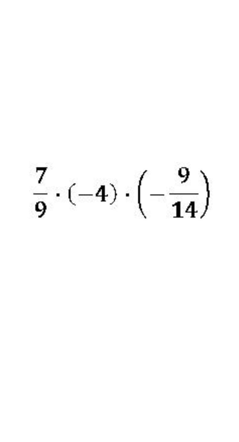
20 баллов.. помогите ​

Приложения:

Ответы

Ответ дал: petrenkoruslan240720
1

Ответ:

Пошаговое объяснение:

Приложения:
Вас заинтересует