1. Перший член арифметичної прогресії дорівнює 7, а різниця прогресії дорівнює -1,5. Знайдіть суму членів арифметичної прогресії з десятого по двадцятий включно.
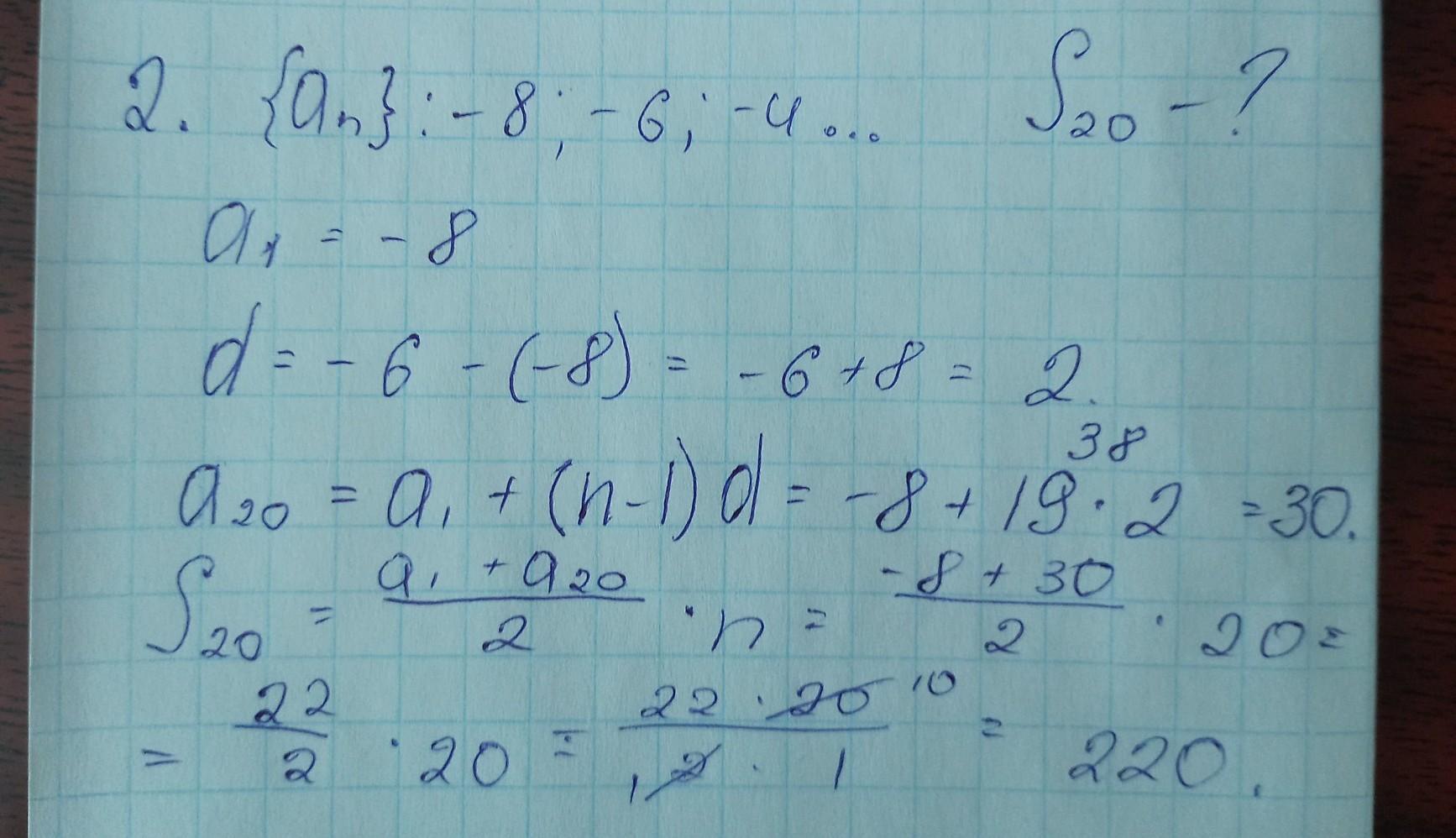
2. Знайдіть суму двадцяти перших членів арифметичної прогресії: -8; -6;-4…
Ответы
Ответ дал:
5
Ответ:
вообще должно быть правильно
Приложения:

ukishuliya1732:
спасибо
Вас заинтересует
2 года назад
2 года назад
8 лет назад
8 лет назад
9 лет назад