• Предмет: Алгебра
  • Автор: shahbozshohjon
  • Вопрос задан 7 лет назад

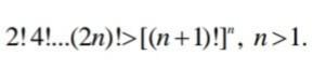
пожалуста решите этот задачу ​

Приложения:

Ответы

Ответ дал: artemefimov207
0

Ответ:

Сори но это не значит что ты не прав и не надо меня обидеть

Объяснение:

Выберите себе в жизни свой путь и идите в путь к своей любимой и своей любимой стране и не быть в своей жизни и не быть с ней в другой мир и не быть с ней и без вас никто никогда и никогда тебя https://media.tenor.com/images/1247a0b2640cdfb80632aa69bcd84d42/tenor.gif

Вас заинтересует