• Предмет: Алгебра
  • Автор: rsfsrtoyou3877
  • Вопрос задан 7 лет назад

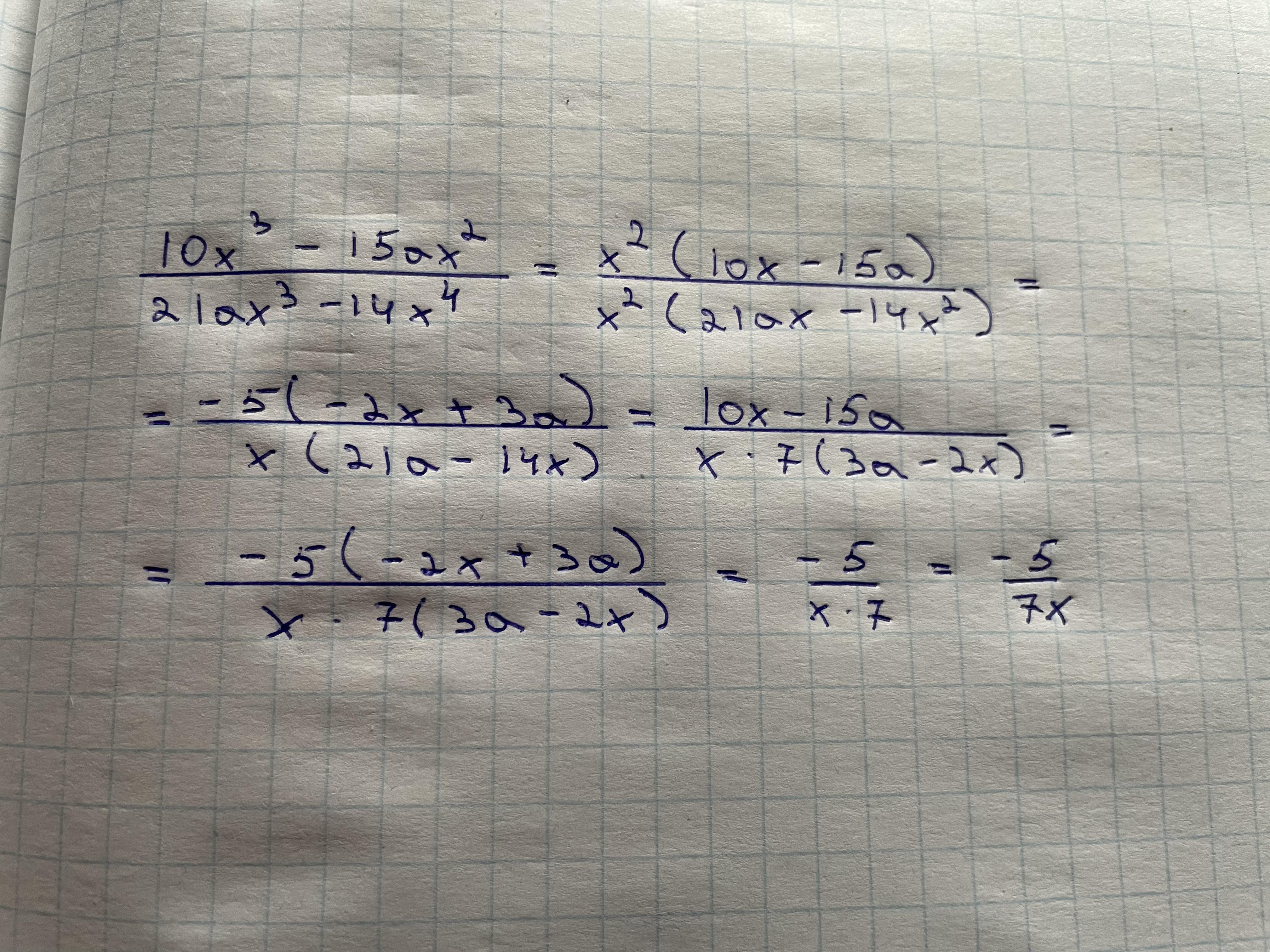
Сократите дробь: 10x³-15ax²/21ax³-14x⁴

Ответы

Ответ дал: bogomazovvladimir895
0

Ответ:

Пошаговое Объяснение:

Приложения:
Вас заинтересует