ребят помогите пожалуйста<3
Задание:
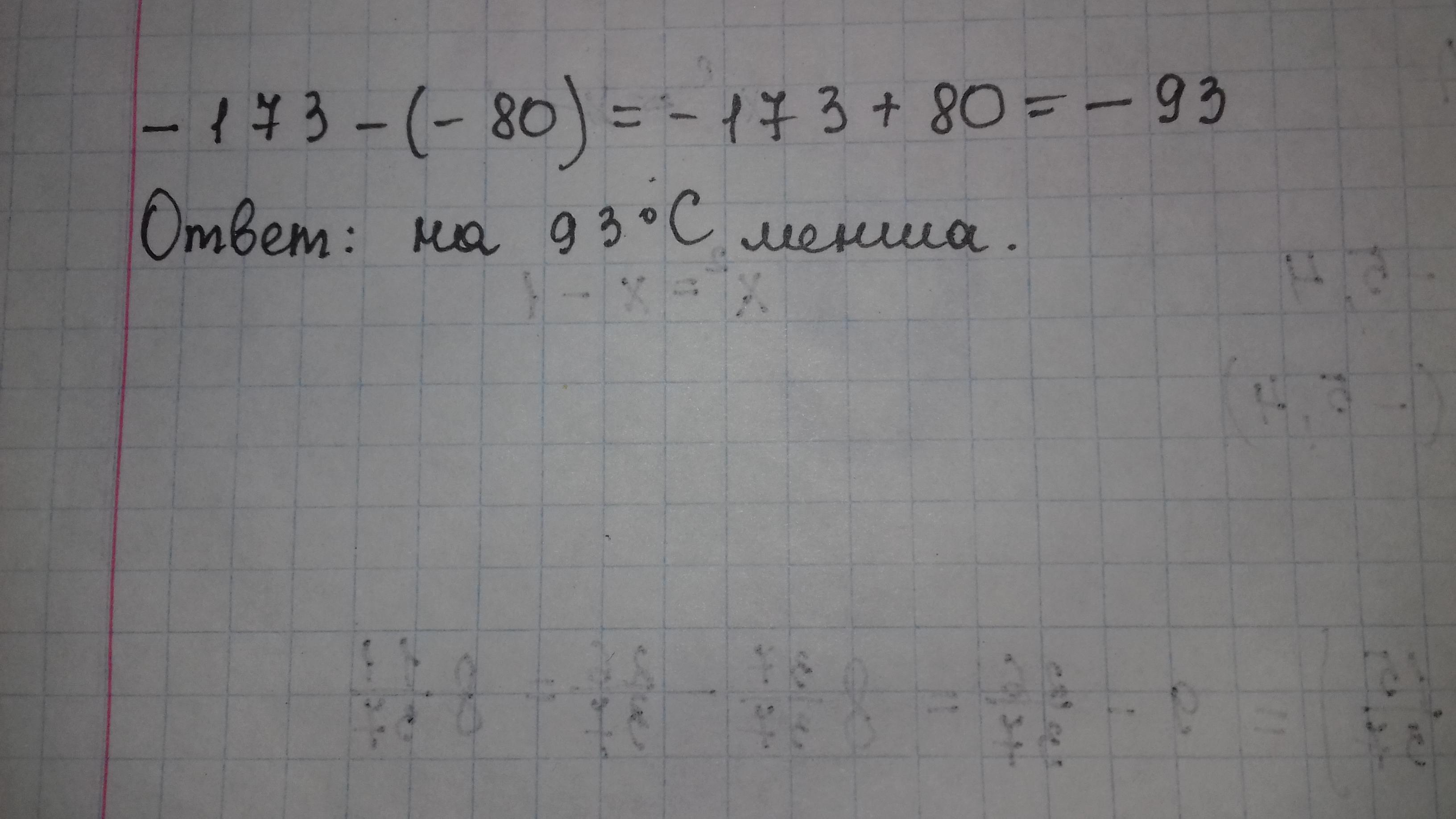
Температура за бортом літака на значній висоті дорівнює -80С, а найнижчою температурою в природі вважають -173С. На скільки найнижча температура в природі менша за вказану температуру за бортом літака?
Ответы
Ответ дал:
1
Ответ:
Смотри фото ниже
Пошаговое объяснение:
Приложения:

Вас заинтересует
2 года назад
2 года назад
2 года назад
2 года назад
8 лет назад
8 лет назад
9 лет назад
9 лет назад