• Предмет: Математика
  • Автор: oksankaplotnik3991
  • Вопрос задан 7 лет назад

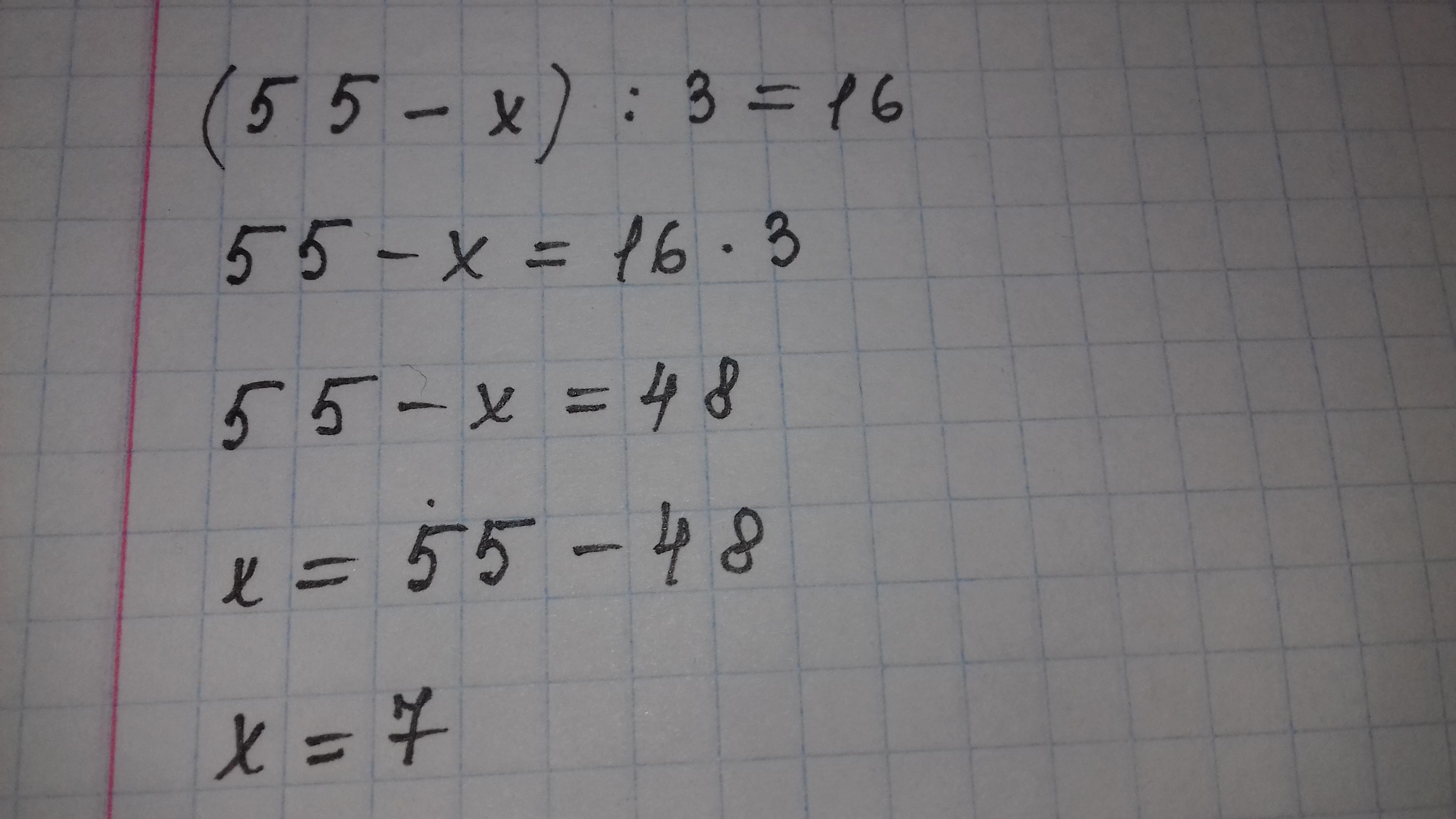
От числа 55 отняли число x, полученный результат уменьшили в три раза и получили 16

Ответы

Ответ дал: natalyvd
1

Ответ:

7

Пошаговое объяснение:

Приложения:
Ответ дал: sadykovanatalya2004
0

Ответ:

Смотри фото ниже

Пошаговое объяснение:

Приложения:
Вас заинтересует