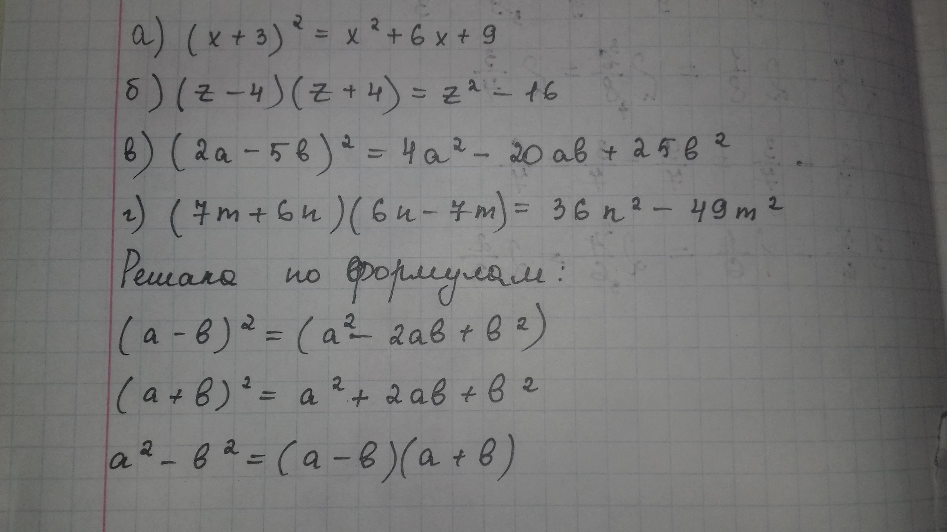
Представьте в виде многочлена выражение
а)( x + 3)²
в)(2а - 5b)²
б)(z - 4) (z + 4)
г) (7m + 6n)(6n - 7m)
Ответы
Ответ дал:
1
1) x²+6x+9
2) 4a²-20ab+25b²
3) z²-16
4) 36n²-49m²
Если вам не трудно сделайте мой ответ лучшим вам не трудно а мне приятно ☺.
Надеюсь я вам помог.
Ответ дал:
1
Ответ:
Смотри фото ниже
Объяснение:
Приложения:

Вас заинтересует
2 года назад
2 года назад
2 года назад
2 года назад
8 лет назад
8 лет назад