• Предмет: Математика
  • Автор: shohjaxonsadriddinov
  • Вопрос задан 7 лет назад

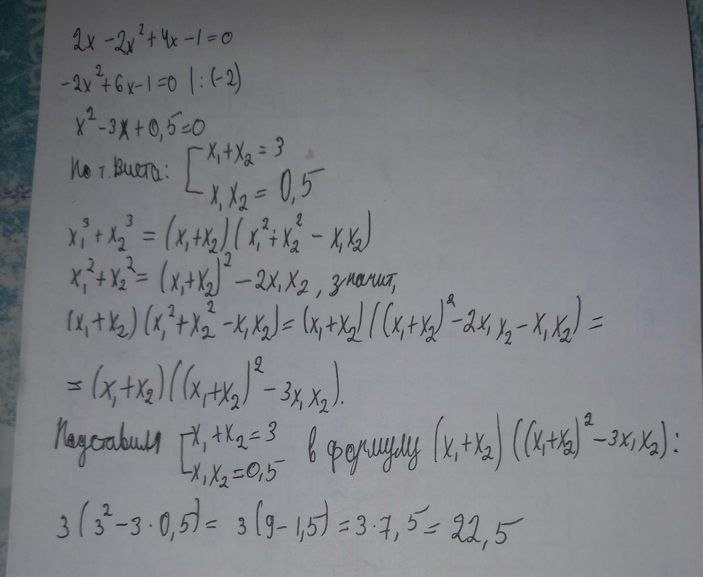
17. Найдите сумму кубов корней уравнения: 2х - 2х2 + 4х – 1 = 0. А) - 3 B) - 3,5 С) 1 D) - 2​

Ответы

Ответ дал: sofiasemenovna100
3

Пошаговое объяснение:

если вам понравился мой ответ можете поставить пометку «Лучший ответ»?

Приложения:

FokinaArinaDmitrevna: Помоги, пожалуйста...Помоги, пожалуйста...Помоги, пожалуйста...
Вас заинтересует