Ответы
Ответ дал:
0
Ответ:
29
Пошаговое объяснение
1)Узнаём a*a (2523/3=841)
2)Квадратный корень 841=29, это и есть ответ
ohh0013:
Ответ не совсем точный. Уже решила правильный:
Ответ дал:
0
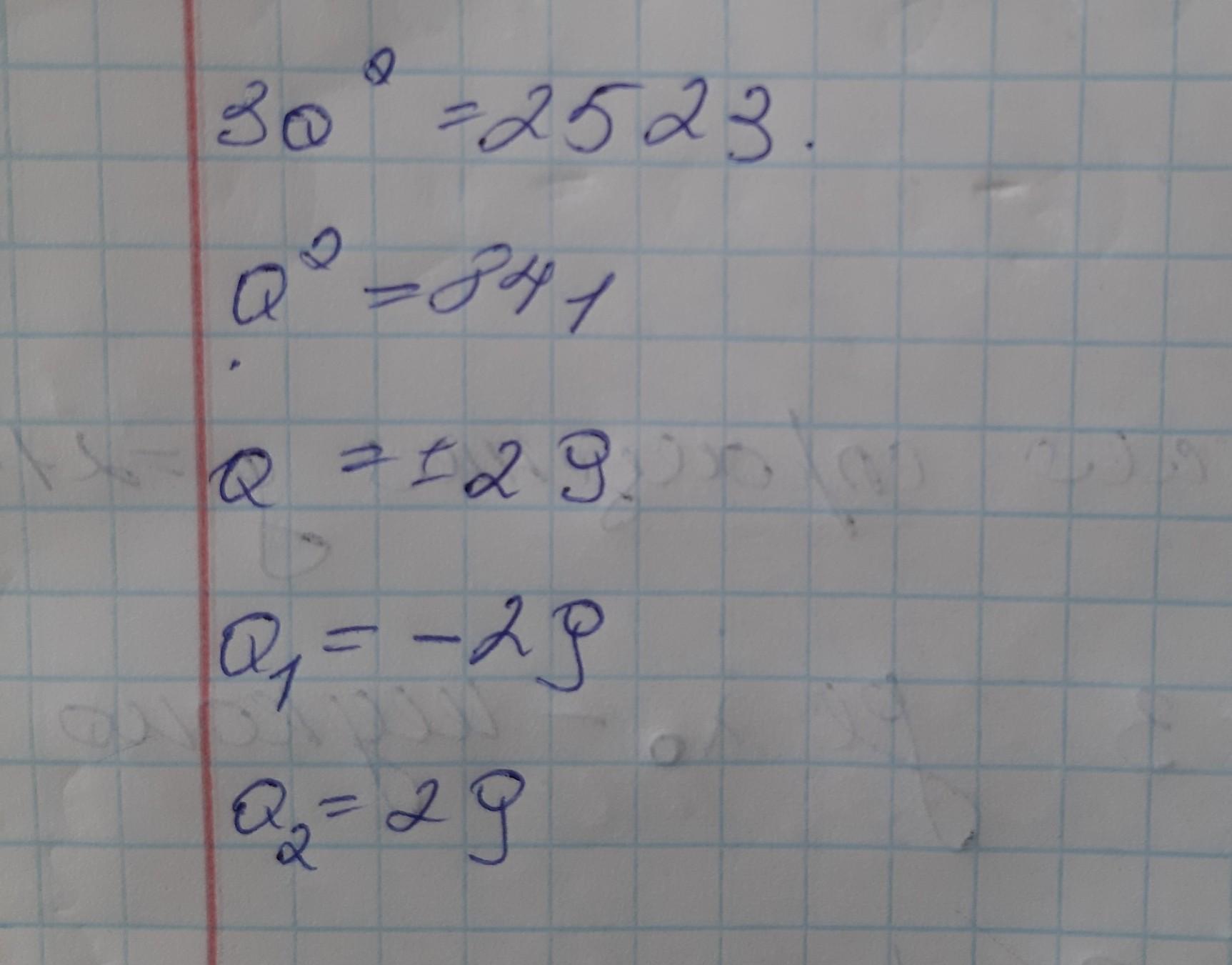
Пошаговое объяснение:
уравнение имеет 2 решения
Приложения:

Вас заинтересует
2 года назад
2 года назад
2 года назад
8 лет назад
9 лет назад