• Предмет: Алгебра
  • Автор: ddgshagdcbfxxccum
  • Вопрос задан 7 лет назад

Нужно решить используя формулы сокрващеного умножения​

Приложения:

Ответы

Ответ дал: mmb1
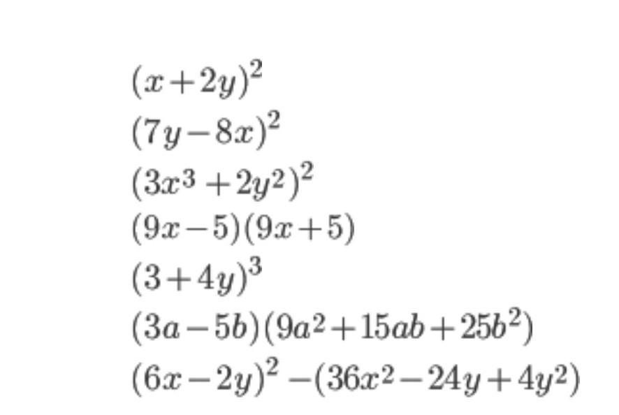
1

(a + b)² = a² + 2ab + b²

(a - b)² = a² - 2ab + b²
a² - b² = (a - b)(a + b)
итд
(x + 2y)² = x² + 2*2y*x + (2y)² = x² + 4xy + 4y²
(7y - 8x)² = (7y)² - 2*7y*8x + (8x)² = 49y² - 112xy + 64x²
(3x³ + 2y²)² = (3x³)² + 2*3x³*2y² + (2y²)² = 9x⁶ + 12x³y² + 4y⁴
(9x - 5)(9x + 5) = (9x)² - 5² = 81x² - 25
(3 + 4y)³ = 3³ + 3*3³*4y + 3*3*(4y)² + (4y)³ = 27 + 104y + 144y² + 64y³
(3a - 5b)(9a² + 15ab + 25b²) = (3a)³ - (5b)³ = 27a³ - 125b³
(6x - 2y)² - (36x² - 24y + 4y²) = (6x - 2y)² - ((6x)² - 2*6x*2y + (2y)²) = (6x - 2y)² - (6x - 2y)² = 0

Вас заинтересует