Ответы
Ответ дал:
0
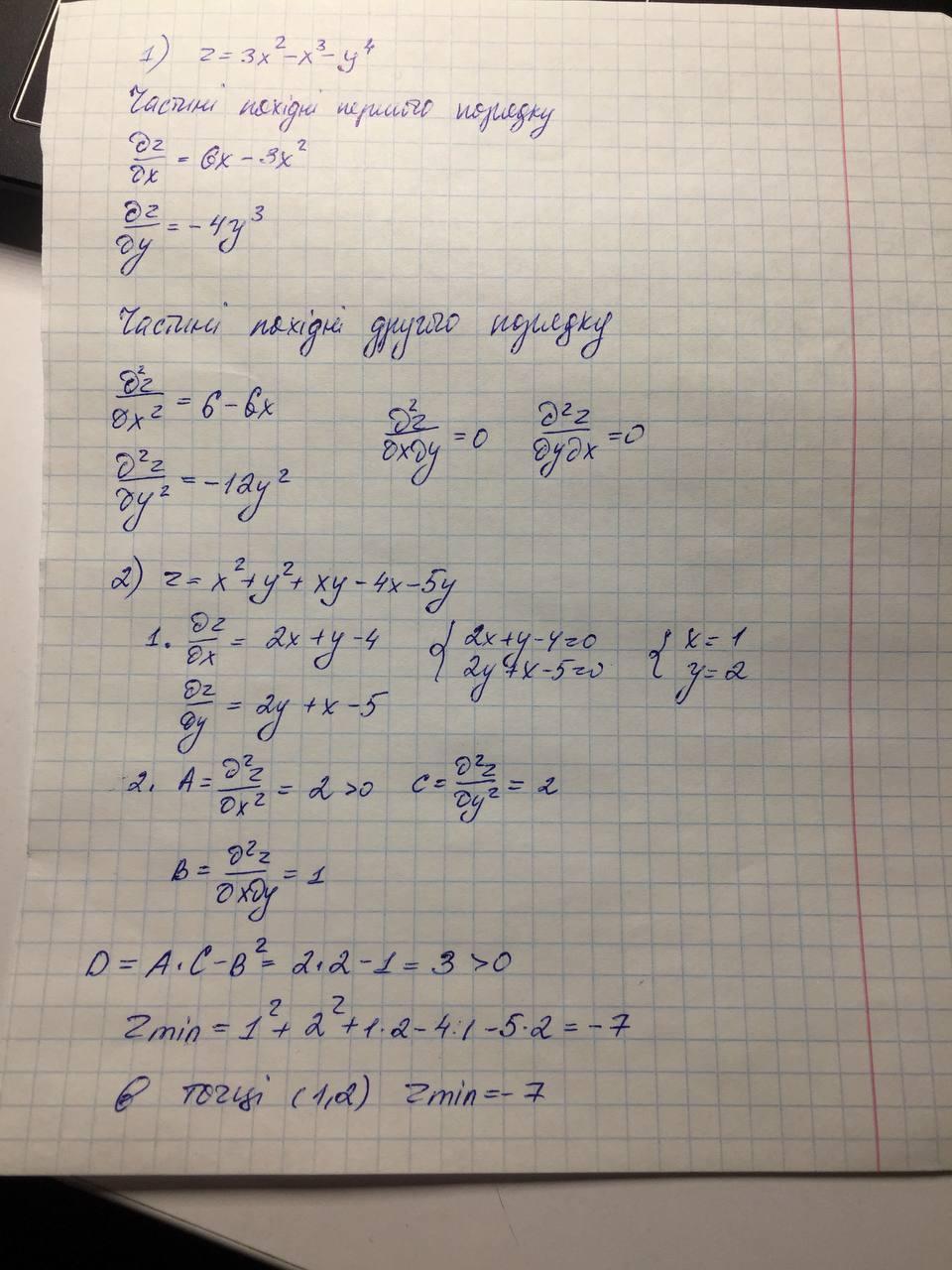
на фото
частинні похідні просто знайти похідні за х чи у
дослідити на екстремум
1) знахрдимо частині похідні першго порядку , потіб прирівнюємо їх до нуля і знаходимо точку , в якій може бути екстремум функції , їх ще називають ствціонарними точками
2) обчислюємо часткові похідні другого порядку , потім обчислюємо в знайдених точках параметр D = A*C - B*B
потім є чотири варіанти розвитку подій
•функція має максимум, якщо A<0; D>0
•функція має мінімум, якщо A>0; D>0
•не має екстремуму, якщо D<0
•при D=0 потрібно проводити додатковий аналіз на екстремум
Приложения:

Вас заинтересует
2 года назад
2 года назад
2 года назад
2 года назад
8 лет назад