• Предмет: Алгебра
  • Автор: chnbhuvv
  • Вопрос задан 7 лет назад

Максим спіймав 8 рибин. Скількома способами він може вибрати 3 з них, щоб
пригостити Даринку?
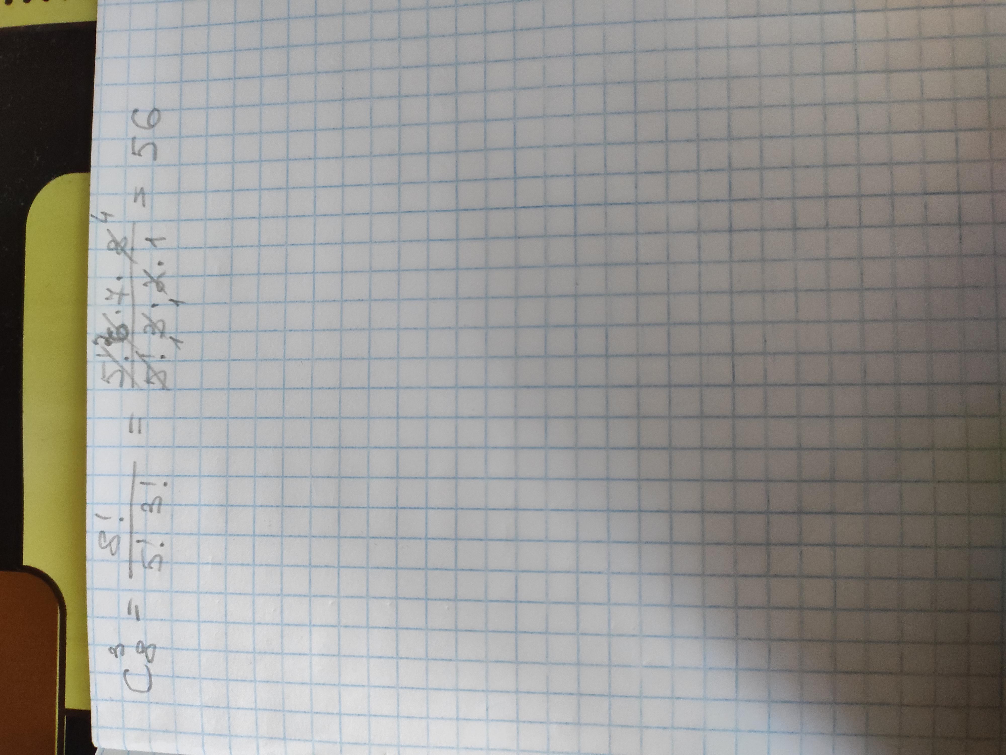
А. 336. Б. 112. В. 56. Г. 40

Ответы

Ответ дал: dianusia2004
1

Відповідь:56

Пояснення:

Приложения:
Вас заинтересует