• Предмет: Математика
  • Автор: Masha345t
  • Вопрос задан 7 лет назад

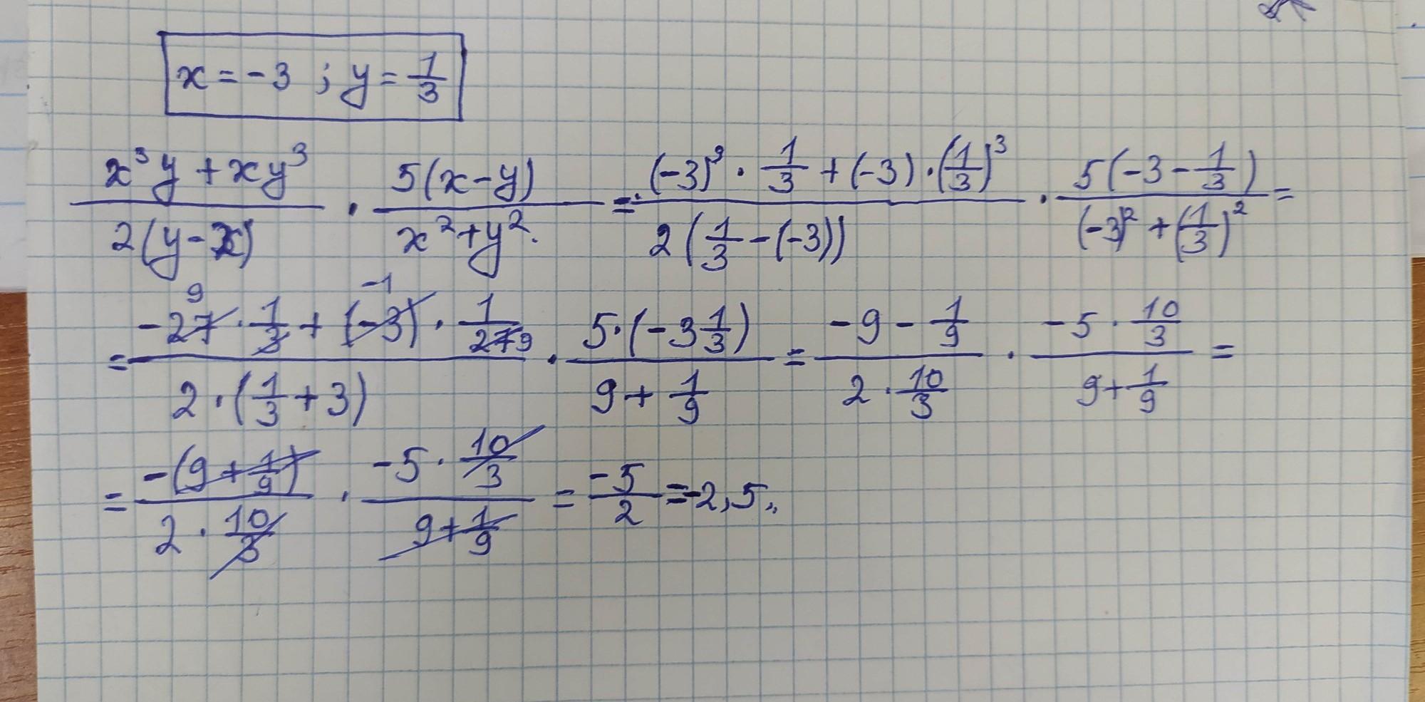
Найдите значение вырежения:

х3 у+ ху3 / 2(y-x) * 5(x-y)/ x2+y2

При значении х= - 3, у=1/3

Помогите пожалуйста (((

Ответы

Ответ дал: tatsach
2

Ответ:

Пошаговое объяснение:

Приложения:

Masha345t: Спасибо большое
Ответ дал: JC1412
2

Пошаговое объяснение:

это пошаговое решение. Если что можете взять только ответ... кому трудно это все написать.

Приложения:

JC1412: а там ошибка должно получиться -2.5
tatsach: Минус перед 5/2 потеряли, исправьте
Masha345t: Спасибо большое
Вас заинтересует