• Предмет: Алгебра
  • Автор: masha567fart
  • Вопрос задан 7 лет назад

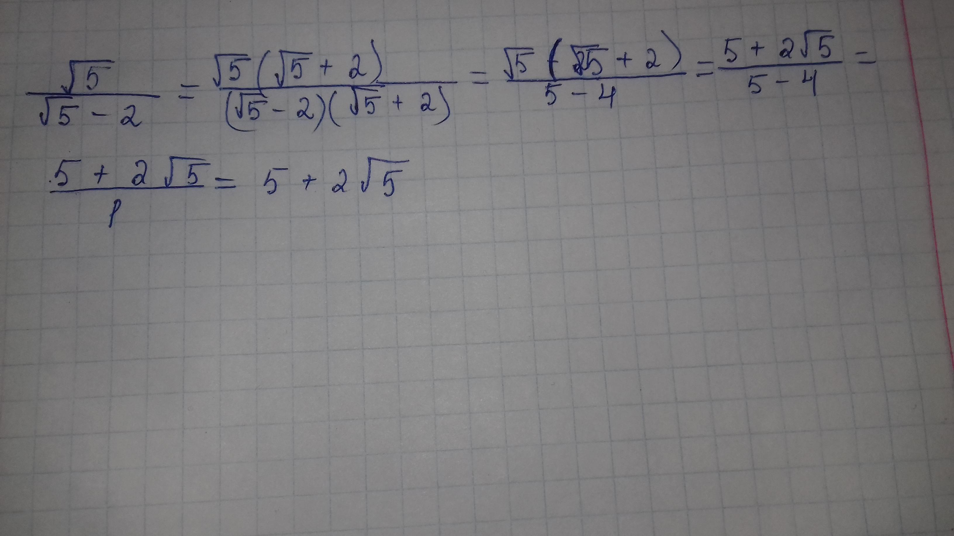
звільнитися від ірраціональності в знаменнику дробу √5/√5-2​

Ответы

Ответ дал: zinaidazina
0

\frac{\sqrt{5} }{\sqrt{5} -2}= \frac{\sqrt{5}*(\sqrt{5} +2) }{(\sqrt{5} -2)*(\sqrt{5} +2)}= \frac{5+2\sqrt{5} }{5-4}= \frac{5+2\sqrt{5} }{1}=5+2\sqrt{5}

Вiдповiдь:   5+2\sqrt{5}

Ответ дал: sadykovanatalya2004
1

Ответ:

Смотри фото ниже.

Объяснение:

Приложения:

masha567fart: спасибі
sadykovanatalya2004: Нема за що .
Вас заинтересует