• Предмет: Алгебра
  • Автор: sulgadarina54
  • Вопрос задан 7 лет назад

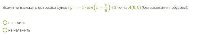
Допоможіть будь ласка​

Приложения:

Ответы

Ответ дал: Universalka
1

\displaystyle\bf\\y=-4\cdot Sin\Big(x+\frac{\pi }{6} \Big)+2\\\\A(0 \ ; \ 0) \  \ \Rightarrow \  \ x=0 \  \ , \  \ y=0\\\\\\0=-4\cdot Sin\Big(0+\frac{\pi }{6} \Big)+2\\\\\\0=-4\cdot Sin\frac{\pi }{6} +2\\\\\\0=-4\cdot \frac{1}{2} +2\\\\\\0=-2+2\\\\0=0- \ verno

Ответ : принадлежит

Вас заинтересует