• Предмет: Геометрия
  • Автор: galakdbg
  • Вопрос задан 7 лет назад

срочно пожалуйста!!!!!!!!

Приложения:

Ответы

Ответ дал: Vivernar
0

Ответ:

sinA=\frac{15}{49}

Объяснение:

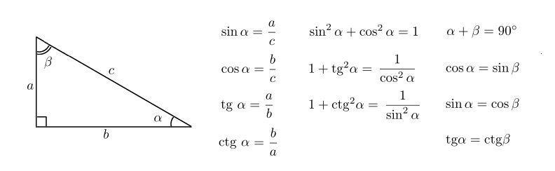
В прямоугольном треугольнике sinA=cosB, найдем cosB:

1+tg^{2}=\frac{1}{cos^{2} }

1+(\frac{8\sqrt{34} }{15}) ^{2} =\frac{1}{cos^{2}B }

1+\frac{64*34}{225} =\frac{1}{cos^{2} B}

\frac{225+64*34}{225} =\frac{1}{cos^{2}B }

\frac{2401}{225} =\frac{1}{cos^{2}B }

cos^{2} B=\frac{225}{2401}

cosB=\sqrt{\frac{225}{2401} }

cosB=\frac{15}{49}

Значит sinA=\frac{15}{49}

Приложения:
Вас заинтересует