• Предмет: Математика
  • Автор: Marlu000
  • Вопрос задан 7 лет назад

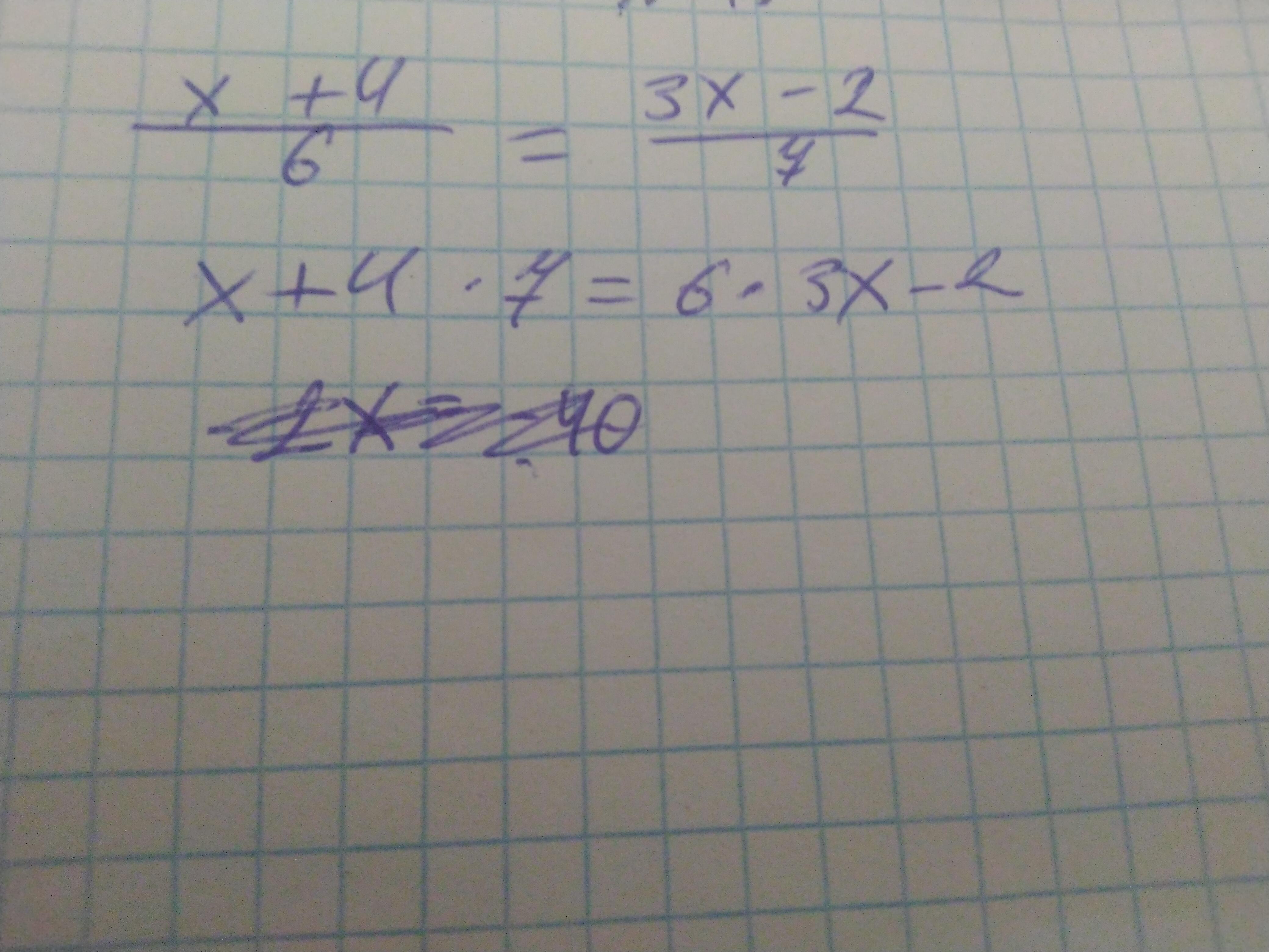
Это понятно, а дальше как

Приложения:

Ответы

Ответ дал: KimLisa18
1

Ответ:

x=\frac{40}{11}

Пошаговое объяснение:

\frac{x+4}{6}=\frac{3x-2}{7}  \\7(x+4)=6(3x-2)\\7x+28=18x-12\\7x-18x=-28-12\\-11x=-40\\x=\frac{40}{11}

Ответ дал: lazarmaksim13
0

Ответ:

ответ на фото..... Сделай лучшим ответ, очень нужно.

Приложения:

Marlu000: Спасибо
lazarmaksim13: спасибо за лучший ответ.
Вас заинтересует