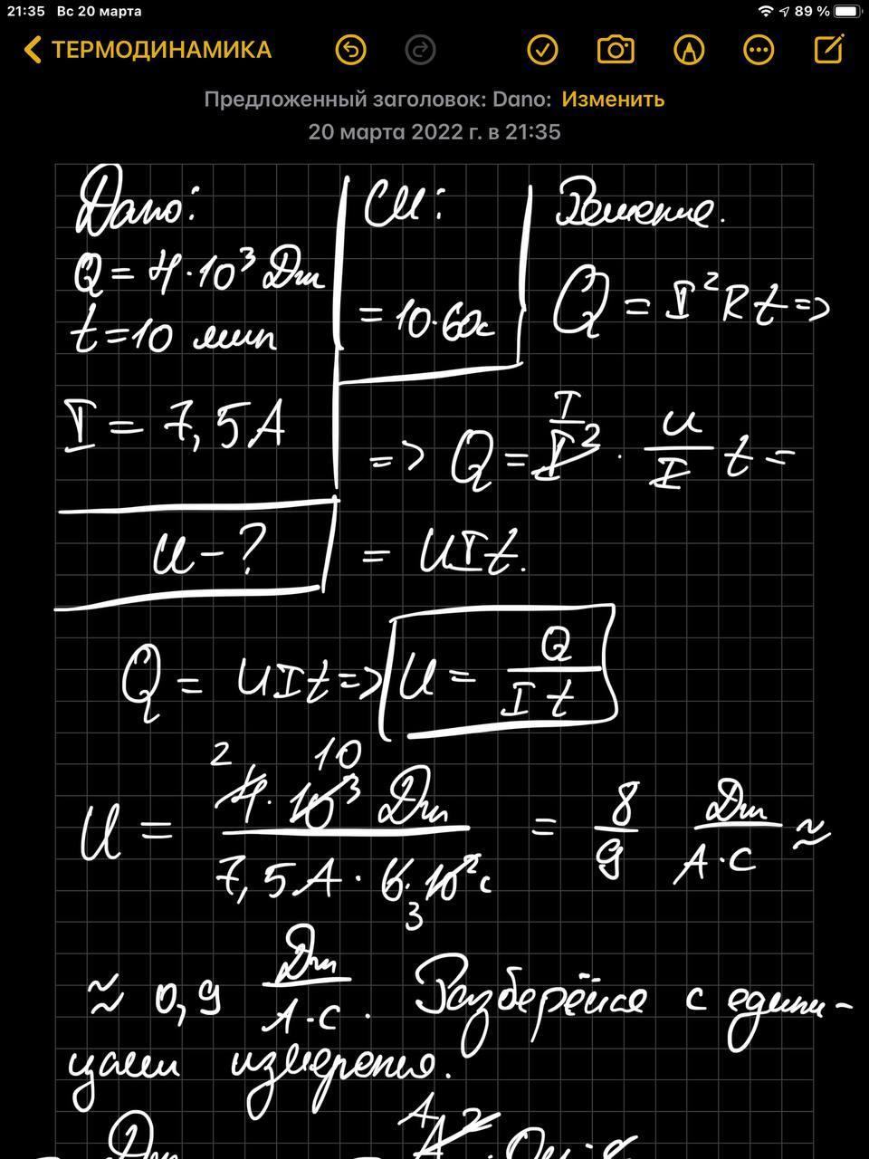
Теплота,выделяемая электрокамином равна 4кДж за 10 мин,а сила тока в его цепи 7,5А. Определите величину напряжения на зажимах электрокамина
Ответы
Ответ дал:
1
Ответ:
0.9 Вольт
Объяснение:
на фото
Приложения:


Вас заинтересует
2 года назад
2 года назад
2 года назад
9 лет назад