• Предмет: Алгебра
  • Автор: sanatullaevlocin
  • Вопрос задан 7 лет назад

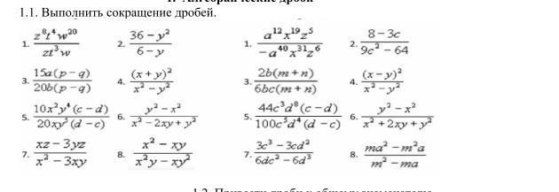
помогите пожалуйста?????)))))​

Приложения:

Ответы

Ответ дал: christennn
0

Ответ:

1.

z {}^{7} tw {19}^{?}

2.

6 - y

3.

 \frac{3a}{4b}

4.

 \frac{(x + y) {}^{2} }{(x - y)( x + y)}  =  \frac{x + y}{x - y}


sanatullaevlocin: мне нужен решение????
christennn: это надо показывать на бумаге как я могу отправить тебе?
sanatullaevlocin: у тебя есть ВК?
sanatullaevlocin: или у тебя есть телеграм?
christennn: извини я не видела),:
christennn: могу сейчас чем то помочь?
Вас заинтересует