Ответы
Ответ дал:
2
Приводим к виду
2x^2-14x+7=0
x^2-7x+3,5=0
(x-3,5)^2=3,5^2-3,5
(x-3,5)^2=3,5*2,5
(x-3,5)^2=0,5^2*sqrt(35)^2
x1=3,5-0,5*sqrt(35)
x2=3,5+0,5*sqrt(35)
^ -возведение в степень
sqrt - корень квадратный
Ответ дал:
5
Ответ:
Объяснение:
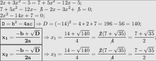
на фотографии
Приложения:

Вас заинтересует
2 года назад
8 лет назад
8 лет назад
9 лет назад