• Предмет: Алгебра
  • Автор: AjaraCholoeva
  • Вопрос задан 10 лет назад

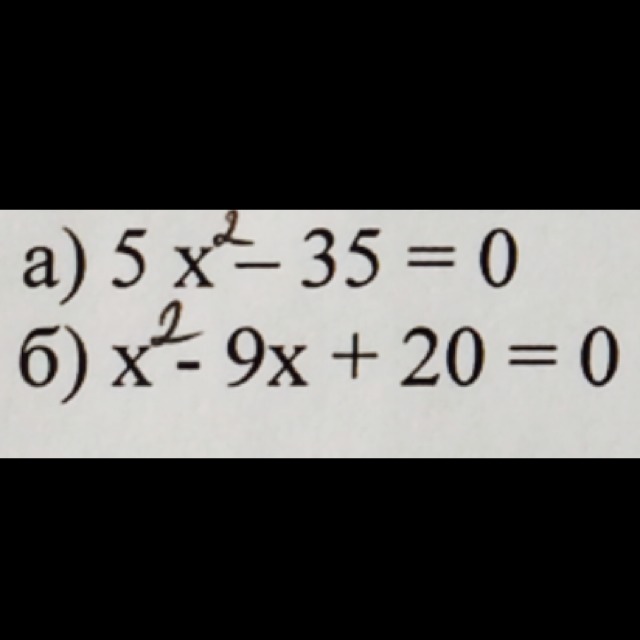
Решите уравнение ,прошу

Приложения:

Ответы

Ответ дал: Rose7Hathaway
0
5X^2-35=0; 5x^2=35; x^2=7; первый х = корень из 7, второй х минус корень из 7. Х^2-9х+20=0; По теореме Виета х1+х2=9, х1*х2=20; х1=4, х2=5. Ответ:4 и 5.
Ответ дал: AjaraCholoeva
0
спасибо :)
Вас заинтересует