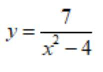
Укажіть область визначення функції *
2 бали
Усі числа
усі числа, крім -2
усі числа, крім 2
усі числа, крім 2 і -2
Інша відповідь
Приложения:

Ответы
Ответ дал:
0
Ответ:
усі числа крім 2 і -2
Объяснение:
Якщо ми підставимо замість x 2 і -2 ,то в знаменник буде дорівнювати 0 , а як відомо на 0 ділити не можна .
lazarmaksim13:
сделай лучшим ответом, очень надо..
Вас заинтересует
2 года назад
2 года назад
2 года назад
2 года назад
8 лет назад