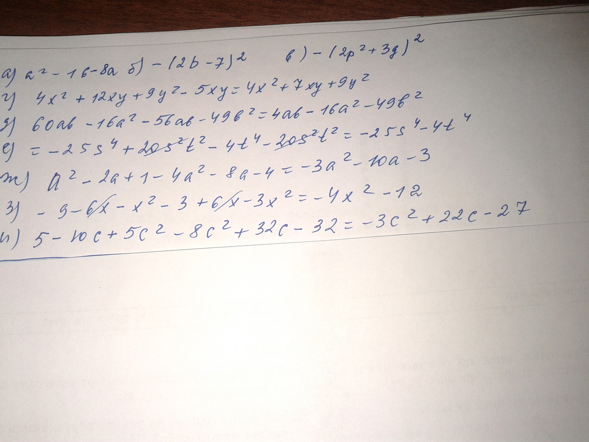
запишите выражение как многочлен стандартного вида:
а)(а+4)(-а-4)
б)(2b-7)(7-2b)
в)(-2p²-3q)(2p²+3q)
г)(2x+3y)²-5xy
д)60ab-(4a+7b)²
е)-(5s²-2t²)²-20s²t²
ж)(a-1)²-4(a+1)²
з)-(3+x)²-3(1-x)²
и)5(1-c)²-8(c-2)²
Ответы
Ответ дал:
0
...................................................
Приложения:
Ответ дал:
0
не все ответы верны
Ответ дал:
0
Какие это?
Ответ дал:
0
а) a²-8a-16
б)-4b²+28b-49
в)-4p²+² -12qp²-9q²+²
г)4x²+7xy+9y²
д)16a²+65ab+49b²
е)-25s²-4t²
б)-4b²+28b-49
в)-4p²+² -12qp²-9q²+²
г)4x²+7xy+9y²
д)16a²+65ab+49b²
е)-25s²-4t²
Приложения:
Ответ дал:
0
У тебя д неправильно
Вас заинтересует
3 года назад
8 лет назад
8 лет назад
11 лет назад
11 лет назад
11 лет назад
11 лет назад