ПРОШУ! помогите с КОНТРОЛЬНОЙ РАБОТОЙ, пожалуйста!даю 20 БАЛЛОВ!
1) Используя формулы сокращённого умножения, найди значение выражения: (10х–5)²–(8х–3)²+4х, если х = 3.
2) (5а–3b)²–(5a+2b)²+20ab =___.
Mногочлены записывать в стандартном виде. Буквы в одночленах записывать в алфавитном порядке.
3) Решить уравнение:
(4х–2)²=(4х–7)(4х+7)–11 =___.
Если получилось дробное число, то надо его записать в виде десятичной дроби.
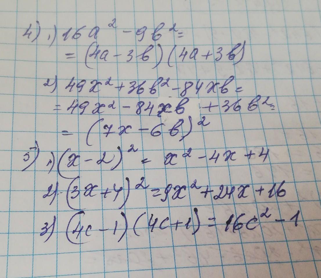
4) 1. 16а²–9b² =___.
2. 49x²+36b²–84xb =___.
5) Преобразовать в многочлен:
1. (х–2)² =___.
2. (3х+4)² =___.
3. (4с–1)(4с+1) =___.
Многочлены записать в стандартном виде(по убыванию степеней одночленов).
Ответы
Ответ дал:
2
Ответ:
Смотри решение на фото...
Приложения:


Вас заинтересует
2 года назад
2 года назад
2 года назад
8 лет назад