• Предмет: Математика
  • Автор: deputovicanastasia06
  • Вопрос задан 7 лет назад

Терміново! Розв'яжіть рівняння.​

Приложения:

Ответы

Ответ дал: bsprofessional17
1

Ответ:

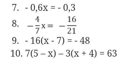
7.-0,6x=-0,3

-0,6x:(-0,6)=-0,3:(-0,6)

x=-0,3:(-0,6)

x=0,5

8.-4/7x=-16/21

-7/4*(-4/7)x=-7/4*(-16/21)

7/4*4/7x=-7/4*(-16/21)

1/4*4x=-7/4*(-16/21)

x=-7/4*(-16/21)

x=7/4*16/21

x=7*4/21

x=4/3

9.-16(x-7)=-48

x-7=3

x=3+7

x=10

10.7(5-x)-3(x+4)=63

35-7x-3(x+4)=63

35-7x-3x-12=63

23-7x-3=63

23-10x=63

-10x=63-23

-10x=40

x=-4


deputovicanastasia06: дякую!!
deputovicanastasia06: * це помножити? Що означає цей знак?
bsprofessional17: Помножити
deputovicanastasia06: дякую.
Вас заинтересует