Ответы
Ответ дал:
1
Ответ:
Смотри на фото во вложении
Можно, пожалуйста, лучший ответ
Приложения:

MainBrain123:
спасибо за лучший ответ
Ответ дал:
0
Ответ:
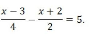
х= -27
Объяснение:
-
= 5
находим общий знаменатель = 4, приводим к общему знаменателю дроби
=5
х-3-2х-4=4*5
-х-7=20
-х=20+7
-х=27
х= - 27
Вас заинтересует
2 года назад
2 года назад
2 года назад
2 года назад
8 лет назад
8 лет назад
9 лет назад