Ответы
Ответ дал:
1
Ответ:
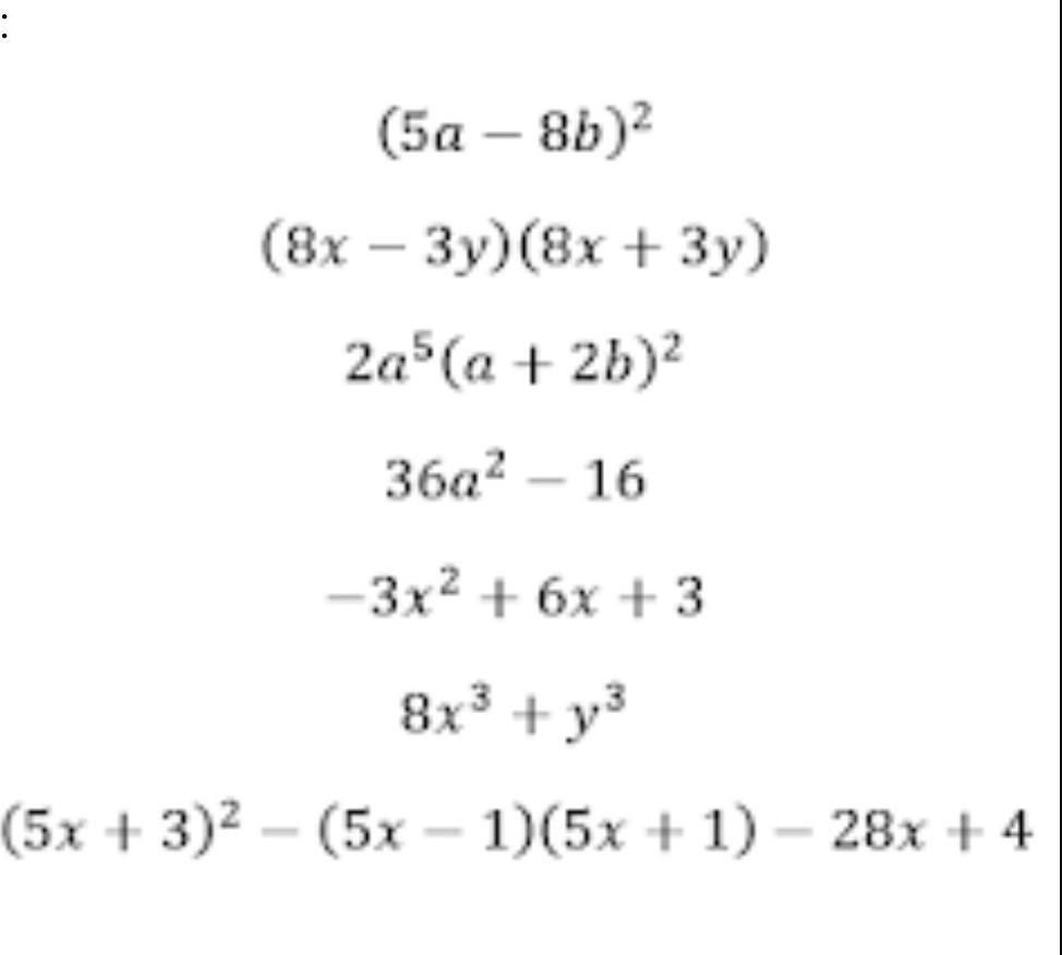
Смотри фото ниже.
Объяснение:
Приложения:

Аноним:
спасибо <3
Вас заинтересует
2 года назад
2 года назад
2 года назад
8 лет назад
9 лет назад