Ответы
Ответ дал:
1
Ответ:
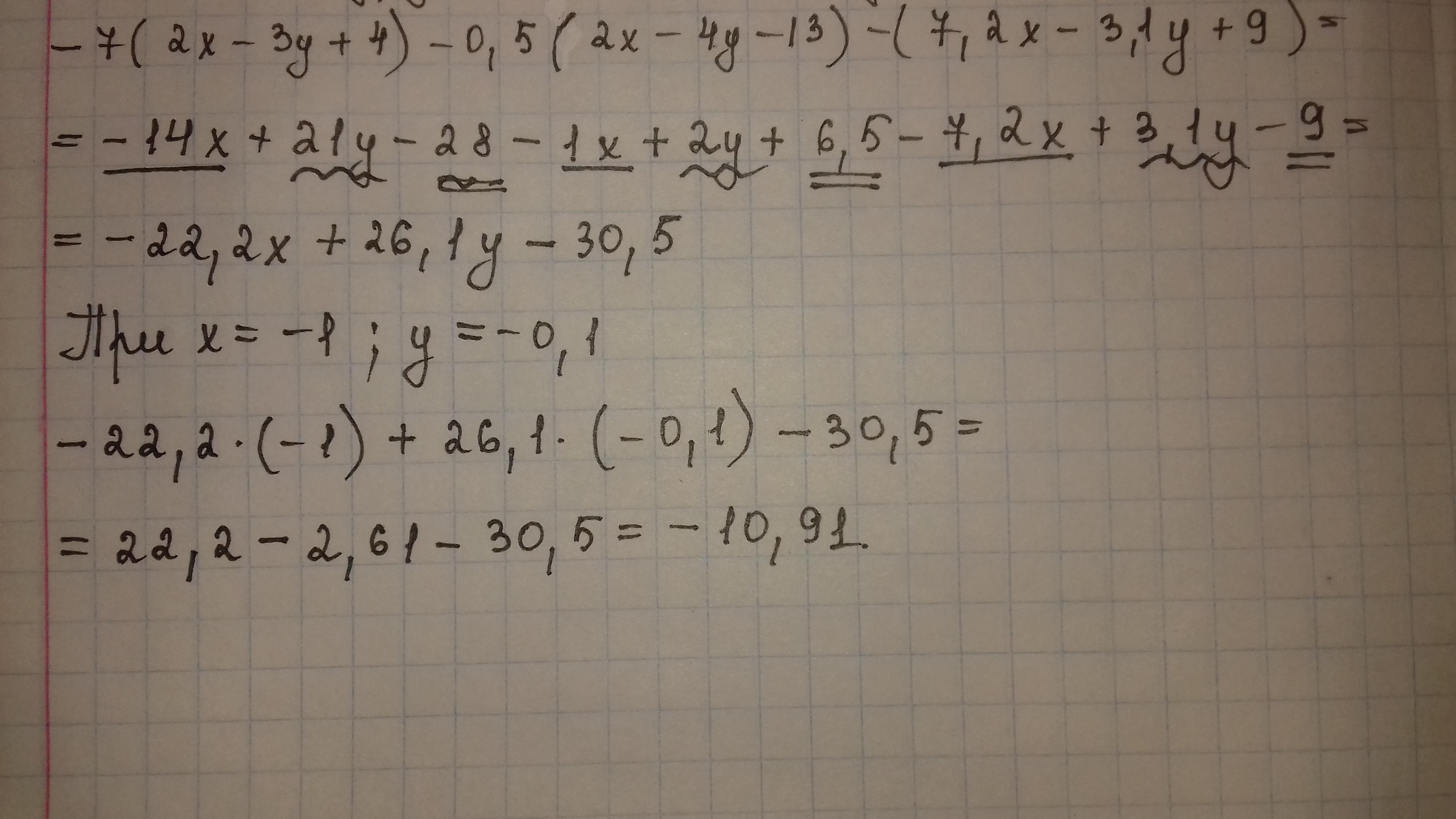
Смотри фото ниже.
Объяснение:
Приложения:

alisafrida:
спасибо большое
Вас заинтересует
2 года назад
2 года назад
2 года назад
8 лет назад
9 лет назад