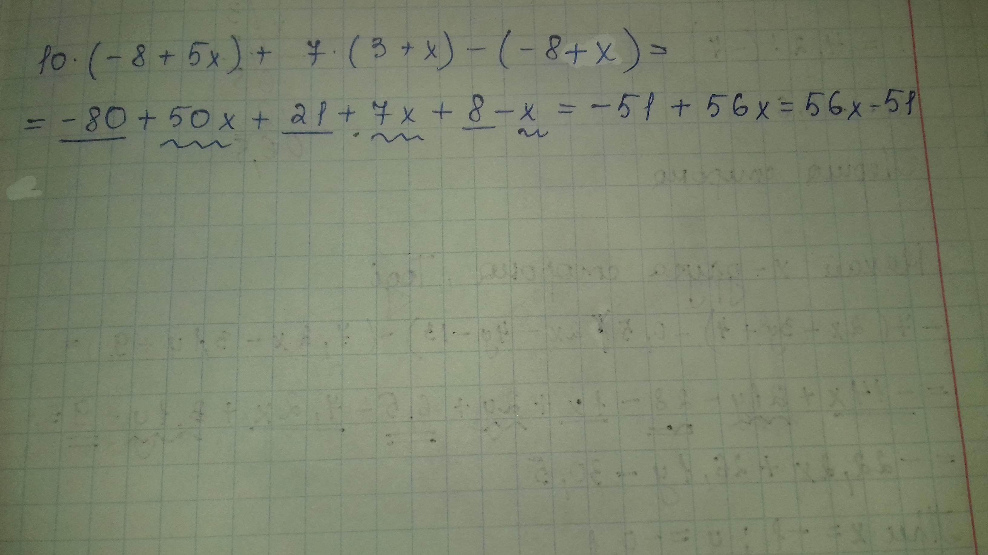
10×(-8+5х)+7×(3+х)-(-8+х)
gogodzerusudan:
Сначала объединяем всё х:
Ответы
Ответ дал:
0
Ответ:
-80+50x+21+7x+8-x=-51+56x
Пошаговое объяснение:
Ответ дал:
0
Ответ:
Смотри фото ниже.
Пошаговое объяснение:
Приложения:

Вас заинтересует
2 года назад
2 года назад
2 года назад
8 лет назад
9 лет назад