• Предмет: Математика
  • Автор: Аноним
  • Вопрос задан 7 лет назад

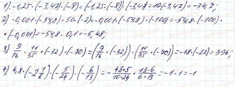
6 клас математика а. г Мерзляк впр 1056​

Приложения:

Ответы

Ответ дал: cafiNO
1

Ответ:

6 клас математика а. г Мерзляк впр 1056​

Пошаговое объяснение:

1)-34,7

2)-5,48

3)396

4)-1

Ответ дал: vlad2624
0
Роржорпгадалпдсжтбєтлмосочлооалалмлслмл
Приложения:
Вас заинтересует