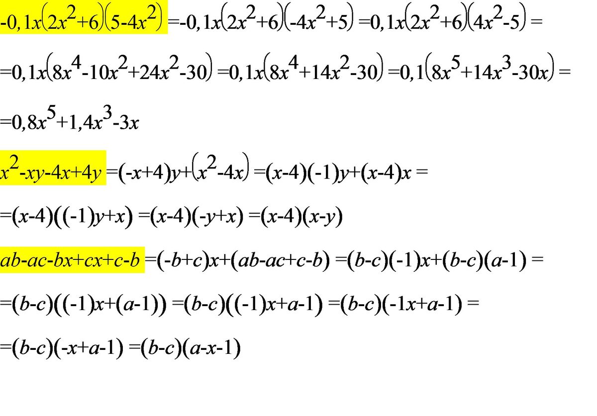
Упростите выражение:
-0,1x(2x^2+6)(5-4x^2)
Представте многочлен в виде произведения:
a) x^2-xy-4x+4y; б) ab-ac-bx+cx+c-b
Ответы
Ответ дал:
0
файл
=============================
Приложения:
Вас заинтересует
3 года назад
3 года назад
8 лет назад
8 лет назад
11 лет назад
11 лет назад
11 лет назад
11 лет назад