Ответы
Ответ:
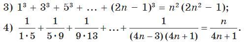
3)
- пусть верно
-----------------------------------------------------------------------------------------------
а)
б)
-------------------------------------------------------------------------------------------------
-----------------------------------------------------------------------------------------
в)
г)
д)
-----------------------------------------------------------------------------------
Так как правую и левую часть тождества
путем равносильных преобразований удалось свести к равному выражению, тогда
первоначально утверждение доказано методом математической индукции.
4)
-пусть верно
------------------------------------------------------------------------------------
а)
б)
----------------------------------------------------------------------------------------
-------------------------------------------------------------------------------------
в)
--------------------------------------------------------------------------------------
Так как правую и левую часть тождества
путем равносильных преобразований удалось свести к равному выражению, тогда
первоначально утверждение доказано методом математической индукции.

