• Предмет: Математика
  • Автор: cergopika777
  • Вопрос задан 7 лет назад

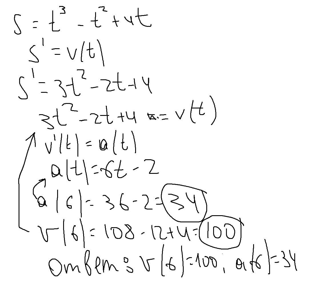
Точка движется по закону S=t3-t2+4t, Найти скорость и ускорение точки при the=6c

Ответы

Ответ дал: snoopyg4ming
1

Ответ:

Ответ на фото

Пошаговое объяснение:

Приложения:
Вас заинтересует