• Предмет: Алгебра
  • Автор: varryyaa
  • Вопрос задан 7 лет назад

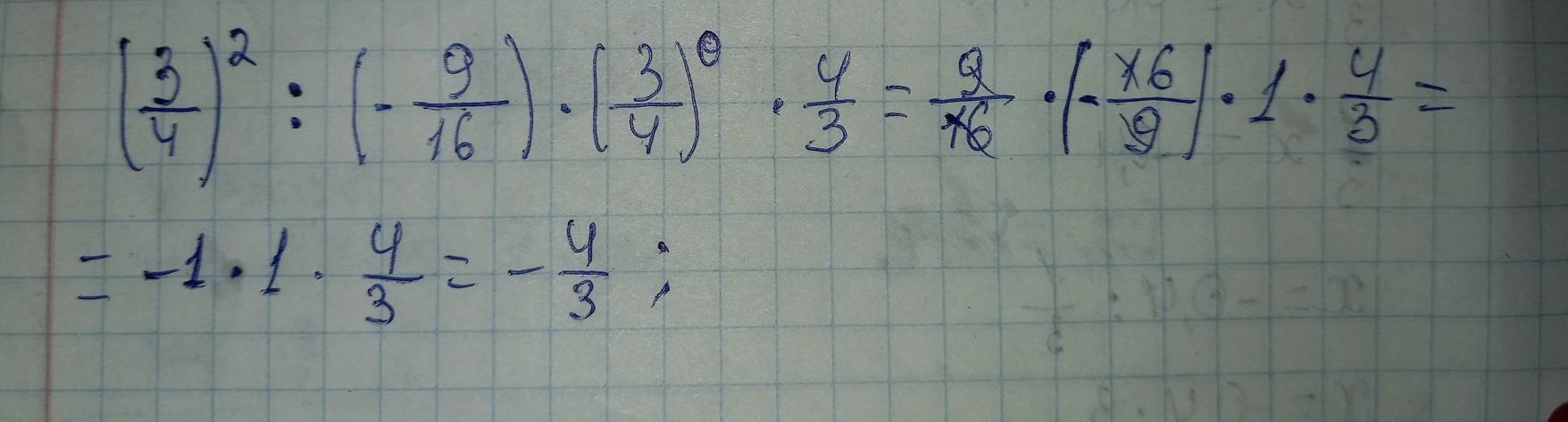
вычисли: (3/4)во второй степени : (-9/16)•(3/4) в нулевой • 4/3
СРОЧНО!!!

Ответы

Ответ дал: asarivna
0

Ответ:

-1

Объяснение:

)))))))))))))))))))))

Ответ дал: Mariamna0203
0

Ответ:

-4/3

Объяснение:

Відповідь на фотці)))

Приложения:
Вас заинтересует