• Предмет: Математика
  • Автор: diana1674
  • Вопрос задан 7 лет назад

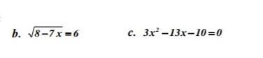
Розв'яжіть рівняння!

Допоможіть будь ласка ​

Приложения:

Ответы

Ответ дал: bomkoasya0102
0

Відповідь на фото

Якщо допомогла, відміть як найкращу відповідь

Приложения:
Вас заинтересует