• Предмет: Геометрия
  • Автор: redkoliana
  • Вопрос задан 7 лет назад

ДАЮ 30 баллов
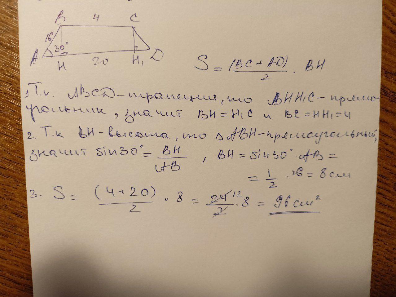
Вычислите площадь трапеции ABCD с основаниями AD и BC, если AD=20 см, BC= 4см, AB=16 см и уголA=30градусов

Ответы

Ответ дал: SonyaaaMr
1

Ответ:

96 см в квадрате

Объяснение:

на фото. (писать первый пункт не обязательно)

Приложения:
Ответ дал: mayakavai
1

Ответ:

Площадь трапеции равна 96 см²

Объяснение:

Из вершины B трапеции проведём высоту BH тогда в прямоугольном треугольнике ABH катет BH лежит против угла в 30⁰, тогда

BH = AB/2 = 16/2= 8 см

Теперь определим площадь трапеции (S - площадь)

S ABCD = (BC+AD)*BH/2=(4+20)*8/2=96см²

Вас заинтересует