Ответы
Ответ дал:
1
Ответ:
......
Объяснение:
......................
Приложения:

Ответ дал:
1
Ответ:
Объяснение:
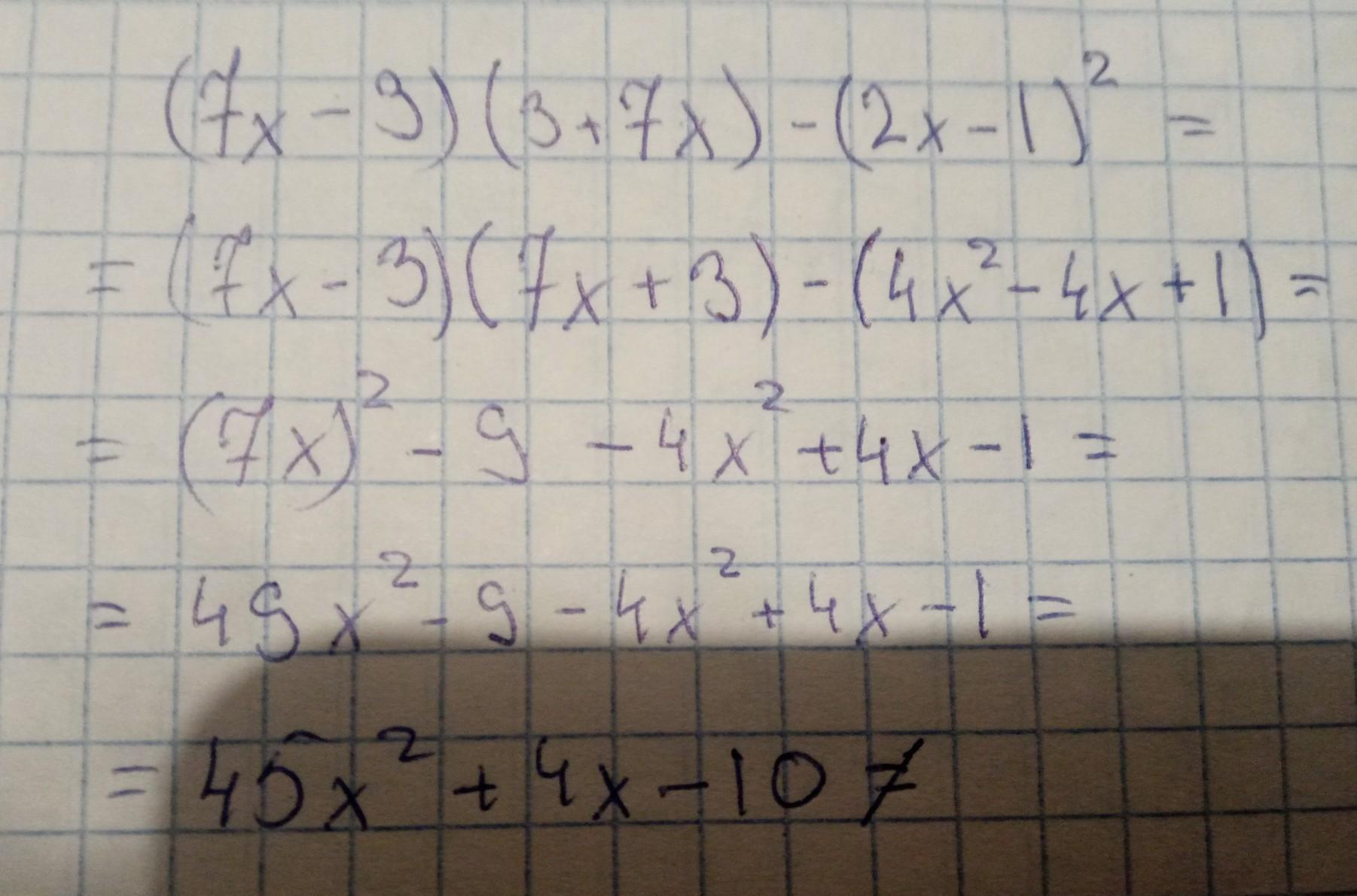
(7x-3)(3+7x)-(2x-1)^2
Разлагаем (2x−1)(2x−1) по правилу перемножения двучленов и получается 4x^2-4x-1;
Из этого получаем: (7x-3)(3+7x)-4x^2-4x-1
(7x-3)(3+7x)-4x^2-4x-1 = 49x^2-9-4x^2-4x-1 = 45x^2+4x-10
думаю,что правильно..)
Вас заинтересует
2 года назад
2 года назад
2 года назад
2 года назад
8 лет назад
8 лет назад
9 лет назад