разложите на множители
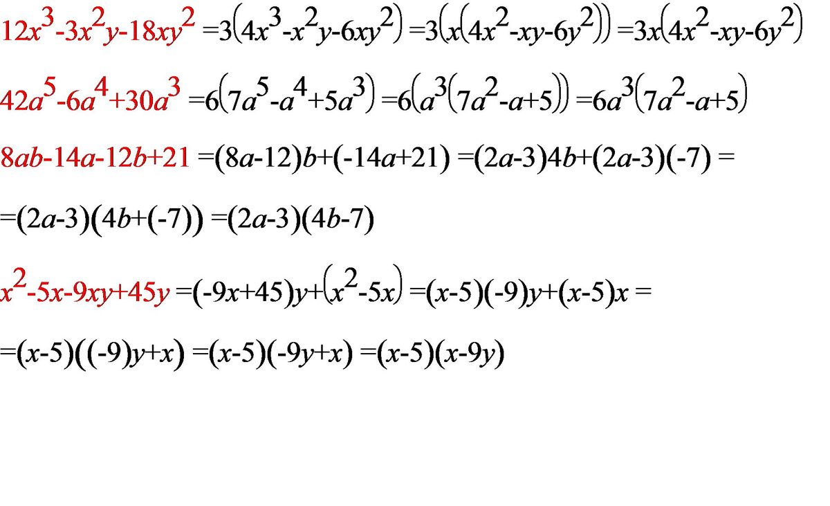
12x^3-3x^2y-18xy^2
42a^5-6a^4+30a^3
8ab-14a-12b+21
x^2-5x-9xy+45y
ЕСЛИ КТО НЕ ЗНАЕТ, ТО '^3,5,4 и др.' ОЗНАЧАЕТ В Кубе,в пятой степени и тд
Ответы
Ответ дал:
0
файл
=====================
Приложения:

Ответ дал:
0
1.3x(4x^2-xy-6y)
2.6a^3(7a^2-a+5)
3.2a(4b-7)+3(-4b+7)=(2a-3)(4b-7)
4.x(x-5)-9y(x-5)=(x-5)(x-9y)
Приложения:

Вас заинтересует
2 года назад
2 года назад
8 лет назад
8 лет назад
10 лет назад
10 лет назад