• Предмет: Алгебра
  • Автор: tanaselkonogova7
  • Вопрос задан 7 лет назад

решите задание пожалуйста ​

Приложения:

Ответы

Ответ дал: bahytgulkabylainova
1

Объяснение:

см фото,,,,,,,,,,,,,,,,,,

Приложения:
Ответ дал: Аноним
1

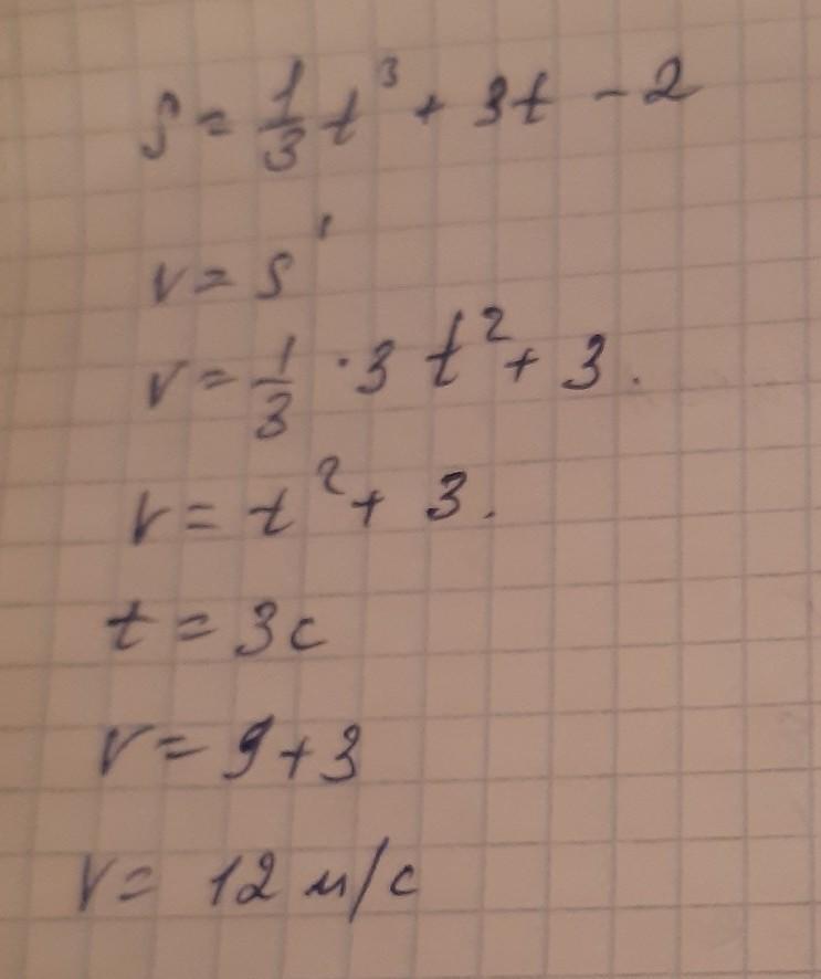
Ответ: 12

Объяснение:

самое интересное. что  здесь нет сложной функции - это сумма элементарных.

s'=3t²/3+3

s'(3)=3*3²/3+3=9+3=12

размерности пути нет  в условии, поэтому и для скорости тоже ее не вижу.

Вас заинтересует