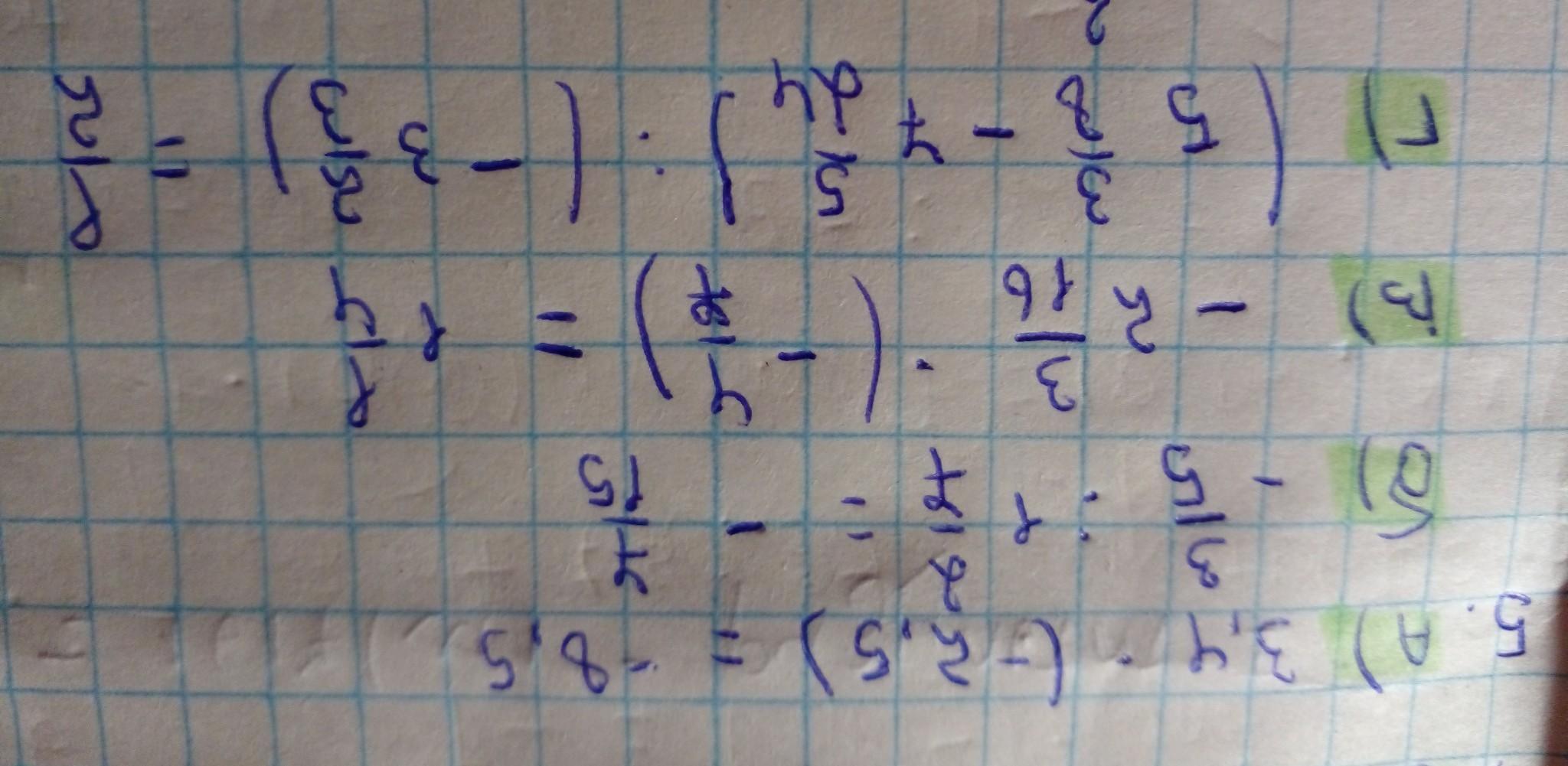
Обчисли значення виразу.
А) 3, 4(- 2, 5) ;
Б) - 2 3/16 * (- 4/7) 6)
В) - 3/5 / 1 * 4/7
Г) (5 3/8 - 7 5/24) : (- 3 2/3)
До завтра пж
Приложения:
Ответы
Ответ дал:
1
Ответ:
а. -8,50=-8,5
б. 7/15
в.1 1/4, десятичное: 1,25; смешанное 5/4
г. 52/88
Пошагово объяснение
Если нужно будет пишите?)
а. -8,50=-8,5
б. 7/15
в.1 1/4, десятичное: 1,25; смешанное 5/4
г. 52/88
Пошагово объяснение
Если нужно будет пишите?)
maftulakanna:
Спасибо вам большое♡♡♡
Ответ дал:
1
Ой та контрольна...
Пошаговое объяснение:
тримайй......
Приложения:
Велике дякую))♡
прошу♡
Вас заинтересует
2 года назад
3 года назад
3 года назад
8 лет назад