Помогите пожалуйста. Решите всё с решением,даю 95 баллов.Слелайте пожалуйста правильно и СРОЧНО!!!!!
Приложения:

gghhhhhhhhhhhgtim:
Все
Ответы
Ответ дал:
2
Ответ:
знаю только на 1... простите (
Объяснение:
Приложения:

Ответ дал:
1
Ответ:
я с 3 начну (/-дробная черта)
^-степень
x+3 /4=2x-7/5
5(x+3)=4(2x-7)
5x+15=8x-28
5x-8x=-28-15
-3x=-43
x=43/3
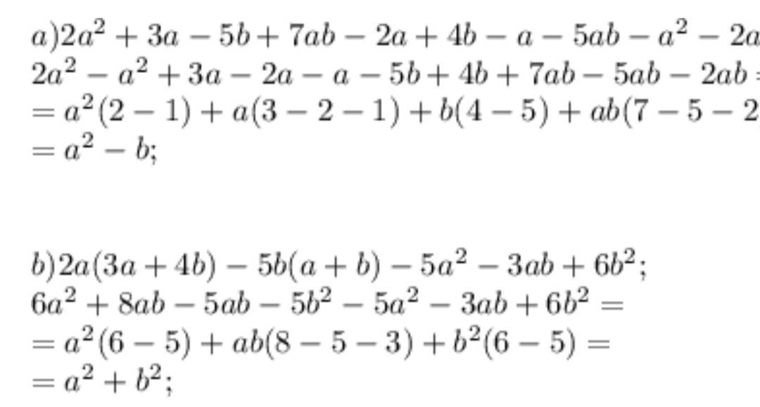
№1
a)a^2+3a-2a-a-5b+4b+7ab-5ab-2ab
a^2-b
б) 6a^2+8ab-5ab-5b^2-5a^2-3ab+6b^2
a^2+b^2
№2
a)3a(a^2-4a+2)
б)5x^2y(3x^2y^2-y+2)
Объяснение:
перемножаем крест на крест
Вас заинтересует
2 года назад
2 года назад
2 года назад
2 года назад
8 лет назад
9 лет назад
9 лет назад