• Предмет: Алгебра
  • Автор: temafaraonov7
  • Вопрос задан 7 лет назад

помогите пожалуйста!
разложите на множители.
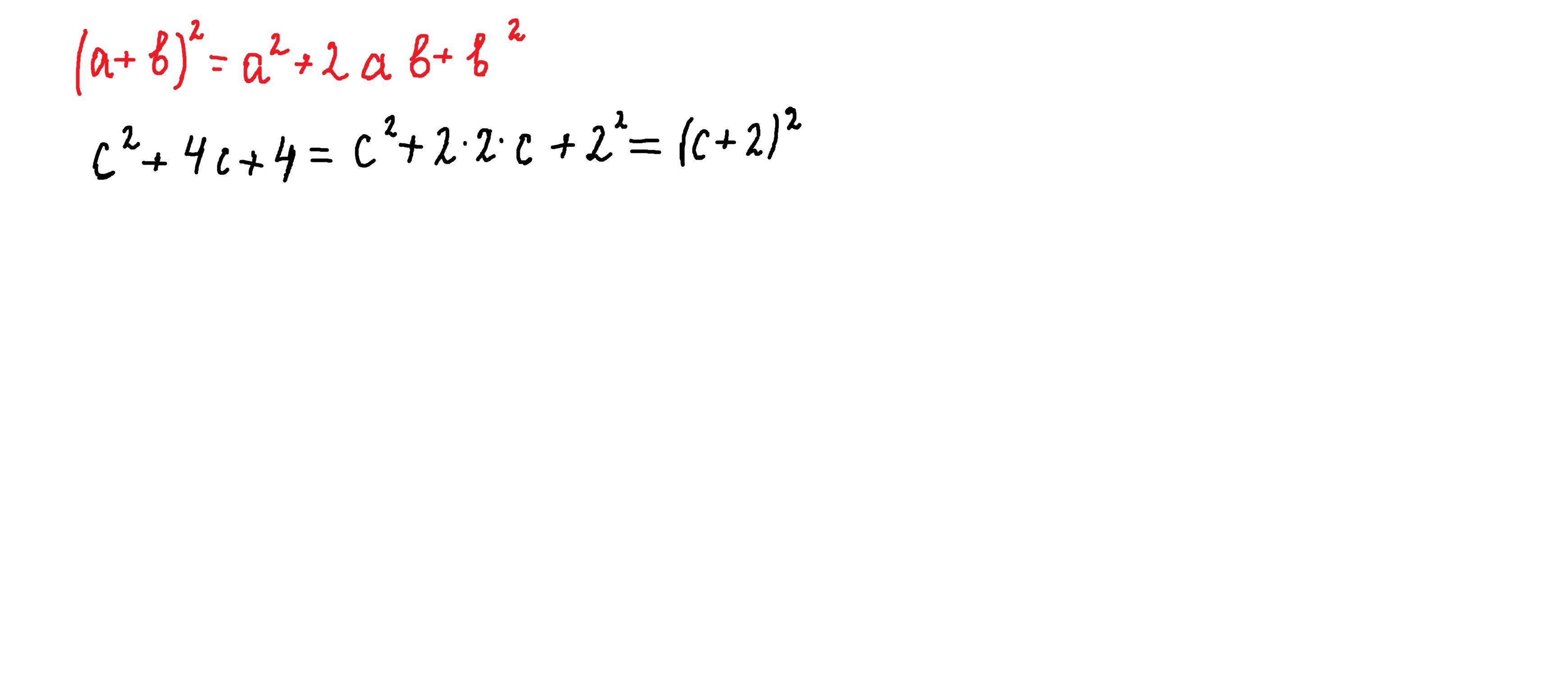
c²+4c+4​

Ответы

Ответ дал: cjyzgo1
1

Ответ: Это формула.

(c+2)²

Объяснение:


temafaraonov7: спасибо большое!
Ответ дал: parus77
0

Ответ:

Объяснение:применяем формулу квадрат суммы,

формула и решение внизу,

Приложения:
Вас заинтересует