Ответы
Ответ дал:
1
Ответ:
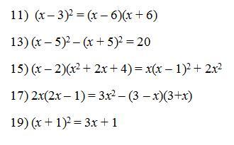
Объяснение:1)x²--6x+9=x²-36
x²-x²-6x=-36-9
-6x=-45
6x=45
x=7,5
2)x²-10x+25-x²-10x-25=20
-20x=20
x=-1
3)x³+2x²+4x-2x²-4x²-8=x³-2x²+x+2x²
3x-4x²-8=0
4x²-3x+8=0
D<0 корней не
4)
Объяснение:1)x²--6x+9=x²-36
x²-x²-6x=-36-9
-6x=-45
6x=45
x=7,5
2)x²-10x+25-x²-10x-25=20
-20x=20
x=-1
3)x³+2x²+4x-2x²-4x²-8=x³-2x²+x+2x²
3x-4x²-8=0
4x²-3x+8=0
D<0 корней не
4)
Вас заинтересует
2 года назад
2 года назад
3 года назад
3 года назад
8 лет назад
8 лет назад
10 лет назад