Ответы
Ответ дал:
2
Ответ:
Смотри фото ниже.
Пошаговое объяснение:
Приложения:

Ответ дал:
2
Ответ:
34,08.
Пошаговое объяснение:
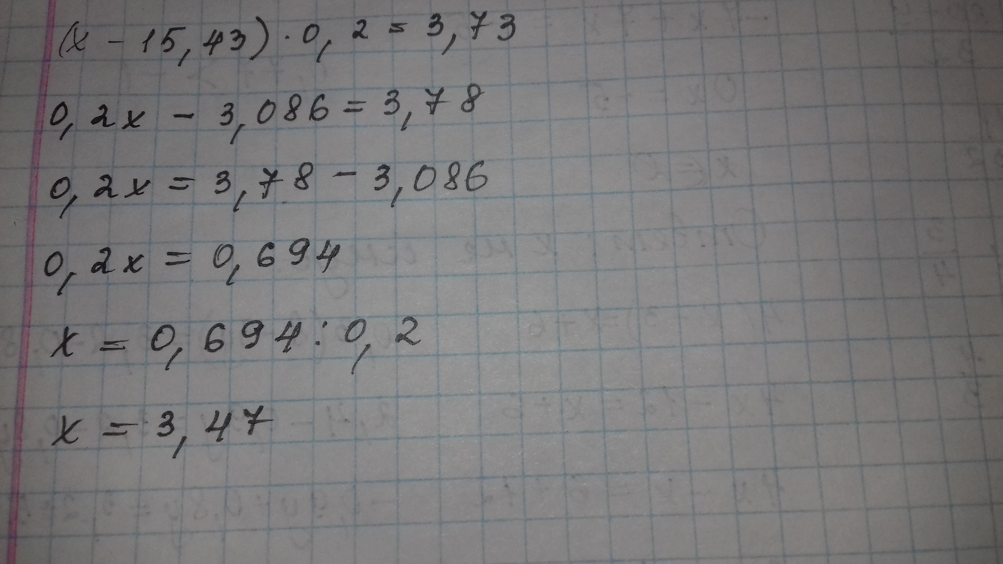
(х – 15,43) · 0,2 = 3,73
Раскроем скобки, используя распределительный закон умножения: а(b-c)=ab-ac.
0,2х – 3,086 = 3,73.
0,2х = 3,73 + 3,086.
0,2х = 6,816.
х = 6,816 : 0,2.
х = 34,08.
Вас заинтересует
2 года назад
2 года назад
2 года назад
8 лет назад
8 лет назад
9 лет назад
9 лет назад