• Предмет: Математика
  • Автор: list567kill
  • Вопрос задан 7 лет назад

Решите уравнение:
.
.
.
.

Приложения:

Ответы

Ответ дал: bsprofessional17
2

Ответ:

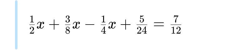
 \frac{1}{2} x +  \frac{3}{8} x -  \frac{1}{4} x +  \frac{5}{24}  =  \frac{7}{12}

Умножаем обе части уравнения на 24

12x+9x-6x+5=14

15x+5=14

15x=14-5

15x=9

Разделяем обе стороны уравнения на 15

x =  \frac{3}{5}

Ответ дал: katelikee64
0

Ответ:Ответ:

Умножаем обе части уравнения на 24

12x+9x-6x+5=14

15x+5=14

15x=14-5

15x=9

Разделяем обе стороны уравнения на 15

Пошаговое объяснение:


bsprofessional17: ммм украл у меня ответ и тебе ещё и за это 5 звезд влепили
katelikee64: Извини(
katelikee64: И тебе 5 звёзд....
katelikee64: И я девочка...
bsprofessional17: ладно
bsprofessional17: сорри
katelikee64: ) 5 звёзд я тебе поставила
Вас заинтересует