• Предмет: Математика
  • Автор: Anya136823
  • Вопрос задан 7 лет назад

Помогите решить пожалуйста

Приложения:

Ответы

Ответ дал: lilyatomach
0

Ответ:

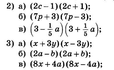
2) а) 4c^{2} -1;  б) 49p^{2} -9;   в) 9-\dfrac{1}{25}a^{2}  .

3) а) x^{2} -9y^{2};   б) 4a^{2} -b^{2} ;   в) 64x^{2} -16a^{2} .

Пошаговое объяснение:

Воспользуемся формулой сокращенного умножения

(a-b)(a+b)=a^{2} -b^{2} .

2) a)

(2c-1)(2c+1)=(2c)^{2} -1^{2} =4c^{2} -1;

б)

(7p+3)(7p-3)=(7p)^{2} -3^{2} =49p^{2} -9;

в)

\left(3- \dfrac{1}{5} a\right)\left(3+ \dfrac{1}{5} a\right)=3^{2} -\left(\dfrac{1}{5} a\right)^{2} =9-\dfrac{1}{25}a^{2}  .

3) a)

(x+3y)(x-3y)=x^{2} -(3y)^{2} =x^{2} -9y^{2};

б)

(2a-b)(2a+b)=(2a)^{2} -b^{2} =4a^{2} -b^{2} ;

в)

(8x+4a)(8x-4a)=(8x)^{2} -(4a)^{2} =64x^{2} -16a^{2} .

Вас заинтересует