• Предмет: Геометрия
  • Автор: ivannvanov1888
  • Вопрос задан 7 лет назад

Помогите пожалуйста

Приложения:

Ответы

Ответ дал: unicorn052
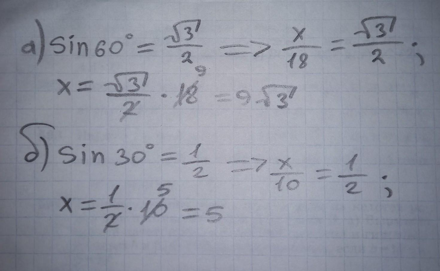
1

Ответ:

а) 9 корней из 3; б) 5

Объяснение:

а) sin60°= корень из 3/2, следовательно

x/18=корень из 3/2;

x=корень из 3/2 *18=9 корней из 3

б) sin30°=1/2, следовательно

x/10=1/2;

x=1/2 *10=5

Надеюсь всё понятно объяснила

Приложения:

unicorn052: Добавила ещё решение на листочке, чтобы было понятнее
Вас заинтересует