• Предмет: Физика
  • Автор: dmitry14nl
  • Вопрос задан 7 лет назад

Визначити енергію конденсатора ємністю 6мкФ при напрузі між обкладками конденсатора 6В.


dmitry14nl: А те що ти виконав це точно привильно?
dmitry14nl: Визначити енергію звязку ядра 42 96 Мо.
brazhenko2003: да
dmitry14nl: можна ще ці дві зробити
brazhenko2003: могу только первую
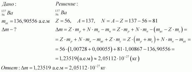
brazhenko2003: я вставил скрин с решением посмотри ниже
dmitry14nl: дякую тобі
dmitry14nl: А другу?
brazhenko2003: а вторую не, сорян
dmitry14nl: А можна цю першу задачу розв'язати через дано

Ответы

Ответ дал: brazhenko2003
1

Ответ:

W= 0,000108Дж

Объяснение:

W = CU^2/2  

Приложения:
Вас заинтересует