• Предмет: Алгебра
  • Автор: Аноним
  • Вопрос задан 7 лет назад

Помогите!!!! Срочноо даю 100баллов

Приложения:

Ответы

Ответ дал: iramazurk
7

Ответ:

Объяснение:

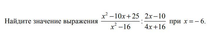
1) х² - 10х + 25 = (х - 5)² = (-6 - 5)² = (-11)² = 121

Это числитель 1 дроби

2) х² - 16 = (-6)² - 16 = 36 - 16 = 20

Это знаменатель 1 дроби

3) 121/20 - это результат 1 дроби

4) 2х - 10 = 2 * (-6) - 10 = - 12 - 10 = -22

Это числитель 2 дроби

5) 4х + 16 = 4 * (-6) + 16 = -24 + 16 = -8

Это знаменатель 2 дроби

6) -22/-8 = 11/4 - это результат 2 дроби

7) 121/20 : 11/4 = 121/20 * 4/11 = 11/5 * 1/1 = 11/5 = 2. 1/5 или 2,2

Ответ: 2. 1/5 или 2,2


Аноним: Оу как сложно!!
Аноним: Спасибо)
Ответ дал: Applegate
9

Ответ:

2,2

Объяснение:

на фотографии

Приложения:

Аноним: Спасибо)))
Applegate: не за что))))
Вас заинтересует