• Предмет: Алгебра
  • Автор: MedeyaHill
  • Вопрос задан 7 лет назад

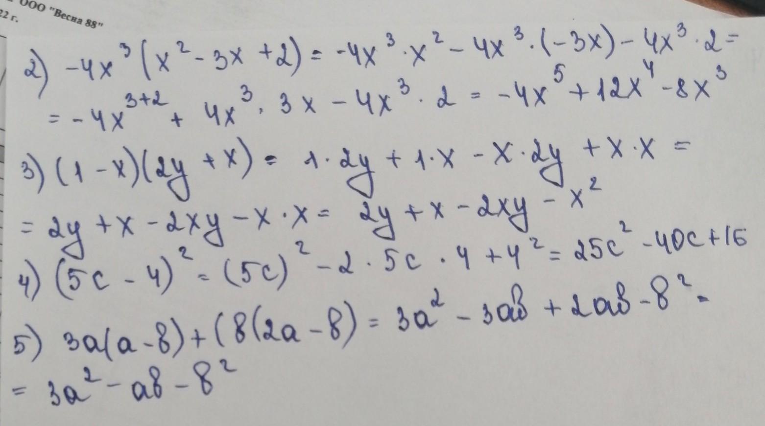
решите номер 2 3 4 5 даю 70 б​

Приложения:

Simba2017: удалят
MedeyaHill: почему?
Simba2017: более 3 задач нельзя

Ответы

Ответ дал: manyny06
1

Ответ:

решение смотри на фотографии

Приложения:
Ответ дал: vikasuhareva2001
0

Ответ:

Решение на фото......................

Приложения:
Вас заинтересует